Larval and juvenile Longfin Smelt diets as a function of fish size and prey density in the San Francisco Estuary
FULL RESEARCH ARTICLE
Zair P. Lojkovic Burris†, Randall D. Baxter†, and Christina E. Burdi*
California Department of Fish and Wildlife, Bay Delta Region, 2109 Arch Airport Road, Suite 100, Stockton, CA 95206, USA
*Corresponding Author: Christina.Burdi@Wildlife.ca.gov
† Retired
Published 1 July 2022 • www.doi.org/10.51492/cfwj.108.11
Abstract
The density and quality of zooplankton prey affect the feeding success of larval and juvenile fishes and thus can drive growth, survival, and recruitment. As part of a larger effort investigating potential causes of a pelagic fish decline, we examined regional feeding success (food presence/absence, stomach fullness), diet composition and prey selection of young Longfin Smelt (Spirinchus thaleichthys) in spring and summer as a function of fish size and prey availability in the San Francisco Estuary. We conducted our sampling during two wet and two dry years, because weather and river flow influence prey community composition and location. Larval and juvenile fish showed evidence of food limitation: high proportions of empty stomachs (≤ 70%) and stomach contents totaling <10% of maximum stomach content volume. The total weight of prey consumed increased with fish length, and in most regions and years this resulted from fish consuming larger prey as they grew; however, in many regions during dry years, fish consumed greater numbers of prey instead of larger prey as they grew. Larval fish preferentially consumed Eurytemora spp. except when rotifers or barnacle nauplii occurred in extremely high densities. Juvenile fish consumed a greater diversity of prey yet relied on mysids in most regions and years. Adult calanoid copepods (Pseudodiaptomus spp., Eurytemora spp., and Acartia spp.) were regionally important in juvenile diets and were positively selected when mysids were in low densities, mostly in eastern regions during dry years. This switch from much larger mysids to smaller calanoid copepods explains the increase in prey number (instead of prey size) consumed in these regions. These results, coupled with food limitation in most regions, suggest that the current densities and quality of zooplankton in the San Francisco Estuary are limiting feeding success and potentially growth and survival of young Longfin Smelt.
Key words: diet, fullness, Longfin Smelt, San Francisco Estuary, selectivity, zooplankton
Introduction
In fish, starvation is size-dependent and younger, smaller fish experience higher rates of starvation than older, larger fish because they have fewer energy stores and are not as skilled foragers (Miller et al. 1988). Thus, the early survival and growth, as well as eventual recruitment of young fish, are linked to the availability, quality (size), and density of their zooplankton prey (Buckley 1979; Welker et al. 1994; Rooker and Holt 1996; Graeb et al.2004; Hammock et al. 2015).
One region where community shifts, introduction of non-native species, and decreases in zooplankton prey overall have affected fish survival is the San Francisco Estuary (SFE). In the SFE, the abundance of historically important zooplankton prey declined sharply after the late-1980s and has remained low since as a result of the predation and competition from the invasive bivalve Potamocorbula amurensis and competition for food from other non-native zooplankton species (Turner and Kelly 1966; Herbold 1987; Alpine and Cloern 1992; Kimmerer et al. 1994; Kimmerer and Orsi 1996; Jassby 2008; Winder and Jassby 2011; Kimmerer and Lougee 2015; Brown et al. 2016; Kayfetz and Kimmerer 2017). The invasion of P. amurensis as well as the introduction of several zooplankton species in the late 1980 to early 1990s caused drastic shifts in the SFE zooplankton community (Orsi and Walter 1991; Modlin and Orsi 1997; Orsi and Ohtsuka 1999; Winder and Jassby 2011). For instance, the once dominant calanoid copepod Eurytemora affinis, a common prey of larval and juvenile fish, not only declined in abundance, but shifted its peak abundance timing to earlier in the year (Kimmerer 2002; Winder and Jassby 2011; Merz et al. 2016). Such a timing shift might influence its availability as food to young fishes. In the place of E. affinis, two non-native species persist: the much smaller invasive cyclopoid copepod, Limnoithona tetraspina, and the more freshwater-oriented calanoid copepod, Pseudodiaptomus forbesi (Kimmerer 2002; Winder and Jassby 2011; Merz et al. 2016; Kayfetz and Kimmerer 2017).
Similarly, another important prey item for young fish in the SFE, the native mysid shrimp, Neomysis mercedis, also decreased in abundance by more than 90% in most of the estuary and has been only partially replaced by the much smaller non-native mysid species, Hyperacanthomysis longirostris (Kimmerer and Orsi 1996; Orsi and Mecum 1996; Feyrer et al. 2003; Winder and Jassby 2011). This decline in native zooplankton abundance, coupled with the shift in community composition, has resulted in a decrease in the mean size and likely the quality of zooplankton in the estuary (Winder and Jassby 2011). These changes in the estuary’s food environment may be contributing to severe declines in fish species abundance (Sommer et al. 2007; Thomson et al. 2010), either through food limitation or through a reduction in the nutritional quality of remaining prey (Herbold et al. 1992; Meng et al. 1994; Matern et al. 2002; Slater and Baxter 2014). For instance, Feyrer et al. (2003) showed that fish species whose juvenile life-stage depended most on the once abundant mysid shrimps for food also suffered the greatest abundance declines: Striped Bass (Morone saxatilis), Longfin Smelt (Spirinchus thaleichthys), and Sacramento Splittail (Pogonichthys macrolepidotus).
In the early 2000s, a suite of native and introduced fishes with varied life histories (including Longfin Smelt) exhibited sharp abundance declines (Sommer et al. 2007; MacNally et al. 2010; Thomson et al. 2010) initiating a broad, multi-disciplinary effort to investigate potential causes (Baxter et al. 2008), including this effort investigating diet as a potential cause of the decline of Longfin Smelt. For Longfin Smelt, a link has been established between declining prey, in this case mysid shrimp, and a population decline in Lake Washington, WA, USA (Chigbu 1993; Chigbu and Sibley 1994, 1998a, b). In this case, the lack of mysid prey appeared to affect growth during the age-0 juvenile stage, which led to a reduction in body size at maturity and hence, reduced fecundity, and lowered reproductive output for the population (Chigbu and Sibley 1994, 1998a, b).
In the SFE, Longfin Smelt hatch from December through April and begin feeding pelagically as they disperse from tidal and low salinity spawning grounds to brackish and eventually marine habitats through their first year (Baxter 1999; Moyle 2002). During this period, the availability of optimally sized and nutritious prey is especially important in determining larval and juvenile feeding success, growth rates, and survival (Buckley 1979; Mills et al. 1989b; Juanes and Conover 1994; Rooker and Holt 1996; Sogard 1997; Chigbu and Sibley 1998a, b; Mittelbach and Persson 1998; Hammock et al. 2015). It is possible that the declines in native zooplankton abundance have lowered fish encounter rates with prey, resulting in fewer successful feeding attempts or causing fish to consume prey of poorer nutritional value. Thus, juvenile food limitation may have been a factor in the strong declines in abundance that Longfin Smelt experienced in the late 1980s and again in the early 2000s (Kimmerer 2002; Feyrer et al. 2003; CDFG 2009). The declines Longfin Smelt experienced—from one of the most abundant pelagic fishes in the SFE (Skinner 1962; Orsi 1999) to historically low levels—have been subject of intense investigation (Baxter et al. 2010) and analyses (MacNally et al. 2010; Thomson et al. 2010). Its precipitous abundance decline and low abundance levels led Longfin Smelt to be listed as threatened under the California Endangered Species act in 2009 (OAL 2010) and soon thereafter the U.S. Fish and Wildlife Service (USFSW) determined that protection of Longfin Smelt under the U.S. ESA was warranted (USFWS 2012), so there is strong interest in understanding factors affecting its abundance.
Prior to this study, most diet studies of Longfin Smelt focused on older age-0 (juvenile) and age-1+ life stages of the landlocked population in Lake Washington (Dryfoos 1965; Chigbu 1993; Sibley and Chigbu 1994; Chigbu et al. 1998; Chigbu and Sibley 1994, 1998a, b). In Lake Washington, age-0 fish consumed copepods, cladocerans, and chironomid larvae whereas age-1+ fish consumed mainly mysids, amphipods, and cladocerans (Chigbu and Sibley 1998a). Elsewhere, information on Longfin Smelt diets was developed as part of an intensive ecological study in the Columbia River, where age-0 fish ate primarily calanoid copepods and age-1+ fish also ate primarily calanoid copepods however, mysids and amphipods also contributed substantially by weight (Bottom et al. 1984).
Little information exists in the literature on the diets of Longfin Smelt in the SFE (e.g., Feyrer et al. 2003), and larval and older age-0 feeding habits have been especially understudied (Hobbs et al. 2006; Jungbluth et al. 2021; Barros et al. 2022). The little information we do have for the SFE suggests that some areas of the estuary may provide poor feeding habitat for young Longfin Smelt. Hobbs et al. (2006) found lower somatic condition in juvenile smelt collected in the south channel of Suisun Bay compared with the north channel, but no difference between fish from those regions in feeding success, although target prey differed by region: calanoid copepods (Pseudodiaptomus spp.) in the south channel and cyclopoid copepods (Acanthocyclops spp.) in the north channel. As a possible explanation for lower somatic condition, Hobbs et al. (2006) reasoned that in the south channel, fish underwent tidally oriented vertical migration to maintain position, ultimately resulting in higher energetic costs in this area. Such tidally oriented vertical migrations appear common among invertebrates and young fishes in the SF Estuary (Kimmerer et al. 1998; Bennett et al. 2002; Kimmerer et al. 2002; Hobbs et al. 2006). Recent information indicates that marsh habitats provide important foraging areas for larval Longfin Smelt (Grimaldo et al. 2017; Barros et al. 2022). This suggests that not only are some regions of the estuary better feeding habitats for young Longfin Smelt, but that factors other than just prey presence and quality (e.g., prey behavior) likely impact the effects of diets on growth.
In the SFE, the distributions of early life stages of Longfin Smelt and many of their diet items follow the distribution of the low salinity field (~ <10-PSU; e.g., Kimmerer and Orsi 1996; Dege and Brown 2004). The location of the low salinity field in the SFE is indexed by X2, the location along the axis of the estuary of 2 PSU at the bottom of the water column measured in km upstream from the Golden Gate and is influenced by the amount of freshwater flow through the Sacramento-San Joaquin Delta (i.e., Delta outflow) (Jassby et al. 1995; Kimmerer 2004). Thus, the distributions of the low salinity zone and of larval and early juvenile Longfin Smelt shift downstream during winter and spring in wet, high-outflow years and upstream during in dry, low-outflow years (Baxter 1999; Dege and Brown 2004; Grimaldo et al. 2020). Abundance and distribution of many zooplankton species respond similarly to the varying amounts of Delta outflow (Jassby et al. 1995; Kimmerer 2002, 2004; Kimmerer et al. 2009). As larvae, Longfin Smelt are poor swimmers (Wang 1986) and initially require low salinity waters for good survival (Moyle 2002; Hobbs et al. 2010). During wet water-years, high outflows create low salinity habitat downstream and broaden larval distribution downstream dispersing larvae westward towards and into San Pablo Bay (Baxter 1999; Dege and Brown 2004; Kimmerer et al. 2009; Kimmerer et al. 2013; Grimaldo et al. 2020). Conversely, during low-flow, dry water-years, high-salinity ocean waters intrude further up the estuary, limiting low salinity habitat and concentrating larvae in Suisun Bay and the western Delta (Baxter 1999; Dege and Brown 2004; Rosenfield 2010; Grimaldo et al. 2020). The initial distribution of juveniles (~25 mm fork length) tends to follow the distribution of larvae (i.e., little additional dispersal) even though juveniles do not appear as salinity limited as larvae (Baxter 1999; Dege and Brown 2004; Hobbs et al. 2010; Moyle 2002). Also, by some currently unknown mechanism(s), high winter and spring outflow results in greater juvenile abundance (i.e., recruitment) in fall of their first year (Jassby et al. 1995; Baxter 1999; Kimmerer 2002; 2004; Dege and Brown 2004; Kimmerer et al. 2009; Rosenfield 2010; Thomson et al. 2010; Nobriga and Rosenfield 2016; Tamburello et al. 2019).
To investigate whether feeding success and diet might have contributed to the Longfin Smelt abundance decline of the early 2000s and to this outflow vs abundance relationship, we examined Longfin Smelt diets regionally in wet and dry years to explore how feeding success and food availability changed during high and low outflow years. We analyzed gut contents of larval and juvenile Longfin Smelt in comparison to concurrently collected zooplankton data collected from March through July during two wet, high-outflow years (2005 and 2006) and two dry low-outflow years (2007 and 2008) from five regions (San Pablo Bay, Napa River, Suisun Bay, Suisun Marsh, and the West Delta) of the SFE (Fig. 1). We focused on four compound questions:
- Do young Longfin Smelt experience food limitation (indicated by percent of empty stomachs and a low stomach fullness index) and is it dependent on life stage and/or regional prey densities?We hypothesized that juvenile fish would show less food limitation than larval fish because their greater size would enable them to better capture, manipulate, and consume larger and more varied prey (Keast and Webb 1966; Webb 1976; Beamish 1978; Bremigan and Stein 1994; DeVries et al. 1998). In addition, we hypothesized that fish in regions with high prey density would experience less food limitation than regions with low prey densities.
- Are the total prey weight, mean size, and number of prey consumed a function of life stage, region, and water year type? We hypothesized that increases in prey consumption as fish grew would be due to large fish consuming larger prey (not numerically more prey) than small fish, because the energy obtained per time spent foraging would be maximized (MacArthur and Pianka 1966; Emlen 1966; Schoener 1969). Additionally, the strength of this relationship might reflect a beneficial aspect of the region or water year.
- Are there differences in diet composition and prey selection between life stages, regions, and water year types? We hypothesized that larval diets would be narrower than juvenile diets, that diet would vary by region because of varied salinities and that each life stage would select for different prey types to maximize return and because prey availability changes seasonally.
- Is there a relationship between prey density and any measure of prey consumption (diet contribution by percent weight or number, Selection Index)? We hypothesized that as preferred prey density increased, fish would consume more and become more selective. The feeding habits of these young fish likely strongly influence growth, survival, and in turn adult size and reproductive potential, and hence, population success; thus, it is important to get a better understanding of how life stage, prey density (i.e., region), and food preferences influence the diets of larval and juvenile Longfin Smelt as outflows and rearing regions change from year to year.

Methods
Fish and Zooplankton Collection
The California Department of Fish and Wildlife (CDFW) collected Longfin Smelt from March through July long-term fish monitoring studies the 20-mm Survey (20-mm), the San Francisco Bay Study (SFBS), and the Summer Townet Survey (STN). These surveys sample at fixed stations every month (SFBS) or twice a month (20-mm, STN). All tows were conducted between 0630 and 1800. However, most tows, and therefore most fish (~94%) were collected between 0800 and 1500. Refer to https://www.wildlife.ca.gov/Conservation/Delta for survey specifics (i.e., net dimensions, tow number and durations, station maps). CDFW identified and measured fish either in the lab after preservation in the field (20-mm Survey) or in the field, and then up to 20 individuals per station per net per tow selected non-randomly as representative of the size range captured were immediately preserved in 10% buffered formalin (STN, SFBS). Because there was a wide range in sizes of fish from March to July, we grouped fish as either larvae (5–24.9 mm FL) or young juveniles (25–45 mm FL). These groupings corresponded well to both the months in which the life stages were collected (March–May for larvae and June–July for young juveniles) and the seasonality of the dominant species of calanoid copepods (Eurytemora spp. in spring, Pseudodiaptomus spp. in summer). We looked at fish diets from five regions of the SFE (Fig. 1), with San Pablo Bay being the most marine influenced region and the West Delta the most freshwater influenced. As mentioned previously, the amount of water flowing through the estuary affects the salinity field, which in turn influences the distribution of larval and juvenile Longfin Smelt and their prey (Jassby et al.1995; Baxter 1999; Dege and Brown 2004; Kimmerer et al.2009; Grimaldo et al. 2020). Water-year types varied annually from 2005 to 2008 (Above Normal, Wet, Dry, and Critical, respectively); for water-year type information see “Official Year Classifications…”, Sacramento Valley Index at the bottom of linked page: https://cdec.water.ca.gov/reportapp/javareports?name=WSIHIST. We further combined years into “wet” years (2005, 2006) and “dry” years (2007, 2008). Longfin Smelt distribution reflected this variation: fish were collected in different regions of the estuary in each year. In the two wet years of our study, 2005 and 2006, relatively high outflows resulted in most fish (~97%) collected from the western estuary in San Pablo Bay, Napa River, and Suisun Bay. During the dry years, 2007 and 2008, low outflows resulted in most fish (~84%) being collected from Suisun Bay, Suisun Marsh, and the West Delta. Due to these differences in outflow and resulting fish distributions, we were not able to collect and process fish from every region each year negating some regional comparisons across all years.
The 20-mm and STN surveys sample zooplankton concurrently with fish collections. For these surveys, zooplankton samples were taken using a modified Clarke-Bumpus (CB) net (73 cm long of 160 µm mesh) attached to the top of a fixed-mouth net sled (e.g., Dege and Brown 2004) towed obliquely from bottom to surface (Kayfetz et al. 2020). CDFW staff immediately preserved zooplankton samples in buffered 10% formalin and identified and enumerated at the CDFW lab. We calculated catch per m3 values for each zooplankton type collected (see below for types). For fish collected from the SFBS, which does not sample zooplankton, the closest zooplankton sample collected in time and space from the above surveys, or from the Interagency Ecological Program’s (IEP) Zooplankton Study CB data (https://www.wildlife.ca.gov/Conservation/Delta/Zooplankton-Study), uses same net and mesh as 20-mm and STN CB samples), was used to approximate the food environment. Since the CB nets do not sample mysids or amphipods effectively, we obtained densities for these prey items using data from the closest samples in time and space from the Zooplankton Study’s mysid net (505 µm mesh net; see website for sampling details: https://iep.ca.gov/Science-Synthesis-Service/Monitoring-Programs/EMP#53339-zooplankton). The Zooplankton Study does not sample in the Napa River, so no mysid or amphipod data were available for this region. Only zooplankton associated with positive fish collections were included in the selection analysis; for all other zooplankton analyses, all samples in the region were included. To get the mean total of all zooplankton taxonomic categories, we averaged all sample densities in a region for each sampling period (i.e., survey) and year, and then by surveys corresponding to the larval and juvenile months (March–May and June–July). To calculate relative abundance for specific zooplankton taxonomic categories, we calculated the mean densities of the 8 most common prey types of Longfin Smelt (see below) as above for each region and year. Then, these densities were divided by the mean total zooplankton (i.e., sum of the 8 species means) for that specific region and year and then multiplied by 100.
Diet Analysis
Fish were processed for diet at the CDFW lab in Stockton. All fish from all samples were identified and measured to the nearest 0.1 mm FL for fish <20 mm and to the nearest 1 mm FL for fish ≥20 mm FL and entered into a database. To select fish for diet processing, we queried the resulting database for larval and juvenile Longfin Smelt available for each sampling survey, station within regions and sampling date, and obtained counts of fish. We then non-randomly selected up to 10 individuals per life stage as representative of the size range available from each sampling survey, month and station. Generally, there were less than 10 individuals per life stage available, so all were processed for diet. Longfin Smelt were rinsed in freshwater, and blotted dry prior to dissection, and length and weight were recorded to the nearest 0.1 mm FL and 0.0001 grams, respectively. We then excised and opened the entire digestive tract (for larvae) or stomach (for juveniles) and removed all prey items. Prey were identified to the lowest practical taxon using a dissecting microscope and enumerated. Large prey items (mysids, amphipods, etc.) were measured for length. We calculated the wet weight of each prey type by multiplying the number consumed by either a standard wet weight estimate for that prey type or by using prey length in a length-weight equation (Slater and Baxter 2014; Burdi et al. 2021).
We calculated the frequency of empty stomachs for each region and size group as the proportion of fish examined with no food in their stomachs. A Stomach Fullness Index was calculated using a modified Herbold (1986) Fullness Index: (HFI)= log10((total prey wet weight/ maximum predicted gut content mass at length) *100). Here, an HFI value of 2 is considered a full stomach, and due to the log scale, a value of 1 is 10% of a full stomach. Fish that had only unidentified animal or plant material were not included in the fullness analysis because the prey could not be identified or weighed accurately. We included fish with empty stomachs in this index and assigned them a fullness value of 0. Next, the total wet weight, number, and mean size (weight divided by number) of prey consumed were calculated for each non-empty-stomached fish. Because fish varied in size by year and region, a direct comparison of prey consumed could not be conducted. Instead, we performed linear regressions to test the hypotheses that prey consumed (total weight, size, and number) increased with fish size. For these regression analyses, prey weight, size and number were log transformed to meet the normality assumptions of the analysis. To compare between regions and years, the resulting equations were used to calculate the predicted prey values for fish of 15- and 30-mm FL (representing larval and juvenile life stages). To get an understanding of whether prey size or prey number contributed more to the increase in overall prey weight with fish size, only the regression with the highest r2 of those two was included in results table.
Prey were grouped into the 8 most prevalent types found in Longfin Smelt stomachs: Amphipods, Mysids, Eurytemora spp., Pseudodiaptomus spp., Acartia spp., Other Copepods (including Tortanus spp., Sinocalanus spp., Harpacticoid copepods, unidentifiable calanoids), Cyclopoids (numerically dominated by Limnoithona spp.), and Other Zooplankton (including barnacle nauplii and rotifers on the marine end of the distribution, and terrestrial invertebrates and Cladocera on the freshwater end). We calculated the importance of each prey type as the percent contribution by weight for each fish as: %W = 100* (weight of prey type 1 consumed/ total weight of all prey consumed by that fish). When relevant, prey categories were broken down into the proportional abundance (using total prey number) of specific species or prey types. In addition, to get an understanding of how food availability influences prey consumption, a Chesson Selectivity Index for each prey type was calculated for each fish (Chesson 1983):

where αi is the selection index for prey type i, ri and pi are the proportions of prey type i in the stomach and in the environment, respectively, and m is the number of prey types available in the environment. Because zooplankton data were counted rather than individually weighed during processing, the numbers of prey in fish diets (%N) were used instead of the weight of prey items. For each fish, the = 1.0; thus, the value of αi ranged from 0 to 1. For this index, there is neutral selection for a prey item if the αi = 1/m (Chesson 1983), or in this study, if αi = 0.125 (or 1/8 when all prey types were present). Depending on the year, location, and season, the value of αi could change, because some prey types were not always available for fish consumption (e.g., when Acartia spp. was not present in freshwater regions, αi = 1/7). Mean selection indices, where the 95% confidence intervals did not overlap the neutral selection value, were considered as significantly positive or negative selection.
Finally, to understand how prey availability influenced diet, we performed linear regressions using paired zooplankton density samples as the explanatory variable on stomach fullness indices, %W, %N, and selection indices for larval and juvenile Longfin Smelt. Not all combinations were tested. For larval fish, we tried the total zooplankton density and Eurytemora spp. densities as explanatory variables, and for juvenile fish, we tested total zooplankton, mysid, Eurytemora spp., Acartia spp., and Pseudodiaptomus spp. densities. In all cases, the diet metric and zooplankton density data were log10 transformed.
Differences in regions and size classes within years were investigated using (log10 (value + 0.001)) transformed stomach fullness values and two-way ANOVAs (significance levels of < 0.05). SigmaPlot 13.0 was used to run all ANOVAS and regressions. Mean and standard error of all measurements are reported, except for selection indices which are given as mean and 95% CI.
Results
Zooplankton Density
With several exceptions, juvenile fish generally experienced lower zooplankton densities than larval fish; however, in the wet year 2006, food densities for juvenile fish tended to be exceptionally high in all regions and in the West Delta food densities tended to be better for juveniles than larvae (Fig. 2). Across all regions and years, Mysids and Amphipods contributed little to the pelagic food web: their densities were almost nonexistent (Fig. 3; no collections were made for these prey types in Napa River).


Zooplankton available to larvae.—For larval Longfin Smelt, the West Delta and Suisun Bay consistently had low total zooplankton densities across all years (<5,000/m3; Fig. 2). In the West Delta, Pseudodiaptomus spp. and Other Copepods (primarily Sinocalanus spp.) dominated the plankton, but Eurytemora spp. accounted for about 15–20% of the zooplankton prey available for larvae (Fig. 3I). In Suisun Bay for larvae, Eurytemora spp., Cyclopoids (primarily Limnoithona spp.), Other Copepods (mostly copepod nauplii), and Acartia spp. all contributed substantially to the plankton (Fig. 3E). The two dry years, 2007 and 2008, experienced the highest spring zooplankton densities, with peaks in San Pablo Bay and especially the Napa River (over 55,000/m3; Fig. 2). In the Napa River, these high densities were due to Other Zooplankton, primarily rotifers and barnacle nauplii (Figs. 2, 3C, 4). In Napa River during the previous two wet years, dominant organisms varied: Eurytemora spp., Other Zooplankton (barnacle nauplii and rotifers) and Other Copepods (copepod nauplii) dominated in spring 2005 and Eurytemora spp. and Pseudodiaptomus spp. dominated in spring 2006 (Fig. 3). In San Pablo Bay during the wet year 2006, Acartia spp. dominated the plankton, but the brackish species Eurytemora spp. also contributed substantially (Fig. 3A). In Suisun Marsh, the highest spring density of zooplankton occurred in 2008, and Eurytemora spp. and Cyclopoids (cyclopoid copepodids) were the most dominant plankton (Figs. 2, 3G). For larvae, zooplankton density was lower across almost all regions in 2005 than during other years; the exception was that spring zooplankton density in San Pablo Bay was lower in 2006 than in 2005 (Fig. 2).

Zooplankton available to juveniles.—For juvenile Longfin Smelt, the wettest year (2006) coincided with the highest mean zooplankton densities (up to 40,000/m3) across all regions compared with all other years (Fig. 2). In all other years and regions, total mean zooplankton for juveniles was relatively low (<5,000/m3), except in San Pablo Bay in 2007. In San Pablo Bay during the dry years 2007 and 2008, Acartia spp. dominated, whereas Other Copepods (Tortanus spp.) and Cyclopoids (Limnoithona spp.) dominated in the wet years 2005 and 2006, respectively (Fig. 3B). The lowest summer zooplankton densities occurred in 2008, across all regions (Fig. 2). In Napa River, the community composition varied each year, with Pseudodiaptomus spp. and Other Copepods (copepod nauplii) most prevalent in 2005, Cyclopoids (100% Limnoithona) and Other Copepods (copepod nauplii) most prevalent in 2006 and Other Zooplankton (crab zoea) dominant in 2008 (Fig. 3D). In Suisun Bay, Suisun Marsh, and the West Delta, Pseudodiaptomus spp. dominated the zooplankton community (Fig. 3F, J, H).
Diet Analysis
In total, 2,025 Longfin Smelt collected from 2005–2008 were processed for diets (Table 1). Fish availability for diet analyses varied across years in relation to regional fish density and was influenced by outflow (indexed by water-year type). Larvae and juveniles were present downstream in San Pablo Bay during the wet year 2006, but only juveniles in the wet year 2005 and dry years 2007 and 2008. Both life stages were present upstream in the West Delta in dry years 2007 and 2008, but neither in the wet years 2005 and 2006 (Fig. 1, Table 1). Fish of both life stages were processed from Napa River and Suisun Bay in all years, except no juveniles in Napa River in 2007. Both life stages were available in Suisun Marsh during the dry years 2007 and 2008, but only larval fish were available in the two wet years.
Table 1. Number of Longfin Smelt larvae and juveniles processed and percentage with empty stomachs (in parentheses) by region (San Pablo Bay (SPB), Napa River (NR), Suisun Bay (SB), Suisun Marsh (SM), West Delta (WD)) and year. Longfin Smelt were not collected in all regions in all years.
| Year | Size | SPB | NR | SB | SM | WD | Total |
|---|---|---|---|---|---|---|---|
| 2005 | Larvae | 48 (23) | 51 (20) | 12 (0) | 111 (14) | ||
| 2005 | Juveniles | 27 (22) | 19 (5) | 65 (17) | 111 (15) | ||
| 2006 | Larvae | 122 (29) | 127 (13) | 28 (39) | 10 (10) | 287 (23) | |
| 2006 | Juveniles | 80 (26) | 17 (0) | 54 (44) | 151 (24) | ||
| 2007 | Larvae | 51 (29) | 207 (22) | 105 (15) | 78 (35) | 441 (25) | |
| 2007 | Juveniles | 79 (14) | 84 (36) | 19 (11) | 26 (31) | 208 (23) | |
| 2008 | Larvae | 50 (26) | 138 (10) | 41 (15) | 149 (14) | 378 (16) | |
| 2008 | Juveniles | 20 (70) | 16 (13) | 172 (41) | 46 (15) | 81 (19) | 335 (31) |
| Total | 328 (32) | 331 (16) | 799 (29) | 233 (11) | 334 (24) | 2,025 |
Feeding success and gut fullness.—The percentage of larval fish with empty stomachs ranged from 0% in Suisun Marsh to 39% in Suisun Bay, and for juveniles from 0% in Napa River to 70% in San Pablo, depending on region and year (Table 1). By year, the lowest percentage of fish with empty stomachs occurred in 2005 (~15% for both larvae and juveniles); the wet year 2006 and dry year 2007 showed similar yet higher percentages of empty stomachs; and in the dry year 2008 the percentage of empty stomachs was relatively low for larvae, but higher for juveniles (Table 1). On average, Napa River and Suisun Marsh had the lowest instances of empty stomachs in all years, 16 and 11% respectively; San Pablo and Suisun Bays had the highest, 32 and 29% respectively (Table 1).
In most regions and years, fish had consumed <10% of their maximum ration in food (i.e., stomach fullness index of <1.0; Fig. 5), and only larval fish in Suisun Marsh during the wettest year (2006) consumed more than the predicted 100% ration (i.e., stomach fullness index >2.0; Fig. 5). In 2005, when larval and juvenile fullness values were compared between Napa River and Suisun Bay (other regions were missing a life stage), both fish size and region were significant factors (two-way ANOVAs: Region: F1,174 = 11.30, P < 0.001; Size: F1,174 = 12.67, P < 0.001; Fig. 5). Juvenile Longfin Smelt had significantly fuller stomachs than larvae (Holm-Sidak Pairwise comparisons: t = 3.55, P < 0.001), and both life stages had significantly fuller stomachs in Napa River than in Suisun Bay (t = 3.36, P < 0.001). In 2006, there was no significant difference in fullness values by life stage or region (San Pablo Bay, Napa River, Suisun Bay; Size: F1, 417 = 0.01, P = 0.90; Region: F2, 417 = 2.14, P = 0.12). Similarly, in 2007, there was also no influence of life stage nor region (Suisun Bay, Suisun Marsh, and the West Delta) on fullness (Size: F1, 502 = 0.48, P = 0.49; Region: F2, 502 = 0.29, P = 0.75). Finally, in 2008, there was a significant interaction between life stage and region (Napa River, Suisun Bay, Suisun Marsh, and the West Delta) on fullness (Two-Way ANOVA: F3,680 = 10.43, P < 0.001). In Napa River and Suisun Marsh, larval fish had significantly lower stomach fullness values than juveniles (Holm-Sidak Pairwise comparisons: t > 3.49 for both, P < 0.001; Fig. 5); however, in Suisun Bay, larval fish had significantly higher values than juveniles (t = 2.44, P = 0.02) and in the West Delta there was no difference between life stages (t = 0.83, P = 0.41). For larval fish, Suisun Bay had significantly higher fullness values than all other regions (SB vs. NR: t = 4.26, P < 0.001; SB vs. SM: t = 2.99, P = 0.01; SB vs. WD: t = 2.79, P = 0.02; Fig. 5). For juvenile fish, there was no significant difference between regions (SB vs. NR: t = 2.43, P = 0.07; SB vs. WD: t = 0.46, P = 0.64; SM vs. WD: t = 2.35, P = 0.07; NR vs. WD: t = 2.10, P = 0.10; NR vs. SM: t = 0.53, P = 0.84), except between Suisun Marsh (second highest fullness to Napa River) and Suisun Bay (lowest fullness) (t = 2.99, P = 0.02).

Diet composition.—In all regions and years, the total weight of prey consumed increased with fish length (both age groups combined; r2 > 0.23, P < 0.05; Table 2), and the greatest rates of increase regionally occurred in Napa River in 2005, 2006 and 2008 (the lowest in 2007 in Suisun Bay). In 2007, the steepest slope was in Suisun Marsh. For most regions and years, the majority of this increase in prey weight was due to an increase in prey size consumed with fish size (i.e., prey size correlation strongest; Table 2). However, in Napa River 2007 and 2008, Suisun Marsh (2007), and the West Delta (2007), the increase in prey weight was due primarily to an increase in prey number consumed.
Table 2. Linear regression equations relating log total prey weight (PW, in mg), log mean prey size (PS, in mg) or log total prey number (PN) consumed to fork length (FL, in mm) for Longfin Smelt larvae and juveniles, combined, for each year and region. Only regions/years when larvae and juveniles were both present were included. The variable (PS or PN) that explained the greatest variance (r2) in prey weight consumed was then related to fish length (San Pabo Bay: n = 143; Napa River: 2005 n = 53, 2006 n = 127, 2007 n = 30, 2008 n = 48; Suisun Bay: 2005 n = 92, 2006 n = 46, 2007 n = 208, 2008 n = 224; Suisun Marsh: 2007 n = 105, 2008 n = 74; West Delta: 2007 n = 66, 2008 n = 194). For all equations used, P < 0.01.
| Region | Year | Prey consumed | r2 | Prey consumed at (15 mm, 30 mm FL) |
|---|---|---|---|---|
| San Pablo Bay | 2006 | PW = –2.177 + 0.0638FL | 0.53 | (0.06, 0.55) |
| San Pablo Bay | 2006 | PS = –2.221 + 0.0389FL | 0.43 | (0.02, 0.09) |
| San Pablo Bay | 2006 | PN = 0.285 + 0.0198FL | 0.23 | (3.8, 7.6) |
| Napa River | 2005 | PW = –3.003 + 0.111FL | 0.54 | (0.05, 2.12) |
| Napa River | 2005 | PS = –3.065 + 0.0882FL | 0.48 | (0.02, 0.38) |
| Napa River | 2005 | PN = 0.336 + 0.0158FL | 0.11 | (3.7, 6.5) |
| Napa River | 2006 | PW = –3.137 + 0.116FL | 0.62 | (0.04, 2.20) |
| Napa River | 2006 | PS = –2.645 + 0.0581FL | 0.42 | (0.02, 0.13) |
| Napa River | 2006 | PN = –0.148 + 0.0463FL | 0.36 | (3.5, 17.4) |
| Napa River | 2007 | PW = –2.310 + 0.0593FL | 0.23 | (0.04, 0.29) |
| Napa River | 2007 | PN = –0.170 + 0.0408FL | 0.56 | (2.8, 11.3) |
| Napa River | 2007 | PS = –1.709 + 0.0038FL | 0.002 | (0.08, 0.09) |
| Napa River | 2008 | PW = –4.299 + 0.142FL | 0.37 | (0.01, 0.91) |
| Napa River | 2008 | PN = –1.171 + 0.0854FL | 0.47 | (1.29, 24.6) |
| Napa River | 2008 | PS = –2.535 + 0.0367FL | 0.05 | (0.01, 0.04) |
| Suisun Bay | 2005 | PW = –2.447 + 0.0764FL | 0.40 | (0.05, 0.70) |
| Suisun Bay | 2005 | PS = –2.293 + 0.0412FL | 0.23 | (0.02, 0.09) |
| Suisun Bay | 2005 | PN = 0.0831 + 0.0301FL | 0.14 | (3.4, 9.7) |
| Suisun Bay | 2006 | PW = –2.090 + 0.0609FL | 0.41 | (0.07, 0.55) |
| Suisun Bay | 2006 | PS = –2.566 + 0.0569FL | 0.40 | (0.02, 0.14) |
| Suisun Bay | 2006 | PN = 0.595 + 0.0047FL | 0.01 | (4.6, 5.4) |
| Suisun Bay | 2007 | PW = –2.085 + 0.0568FL | 0.30 | (0.06, 0.42) |
| Suisun Bay | 2007 | PS = –2.119 + 0.0330FL | 0.21 | (0.02, 0.07) |
| Suisun Bay | 2007 | PN = 0.280 + 0.0189FL | 0.13 | (3.7, 7.0) |
| Suisun Bay | 2008 | PW = –2.213 + 0.0675FL | 0.37 | (0.06, 0.65) |
| Suisun Bay | 2008 | PS = –2.950 + 0.0749FL | 0.50 | (0.01, 0.20) |
| Suisun Bay | 2008 | PN = 0.800 – 0.00432FL | 0.01 | (5.4, 4.7) |
| Suisun Marsh | 2007 | PW = –2.606 + 0.0875FL | 0.56 | (0.05, 1.04) |
| Suisun Marsh | 2007 | PN = –0.300 + 0.0541FL | 0.55 | (3.25, 21.04) |
| Suisun Marsh | 2007 | PS = –1.929 + 0.0207FL | 0.15 | (0.02, 0.05) |
| Suisun Marsh | 2008 | PW = –2.670 + 0.0863FLL | 0.24 | (0.04, 0.83) |
| Suisun Marsh | 2008 | PS = –2.585 + 0.0549FL | 0.18 | (0.02, 0.12) |
| Suisun Marsh | 2008 | PN = –0.133 + 0.027FL | 0.11 | (1.9, 4.8) |
| West Delta | 2007 | PW = –2.082 + 0.0622FL | 0.29 | (0.07, 0.61) |
| West Delta | 2007 | PN = –0.0665 + 0.0376FL | 0.21 | (3.14, 11.52) |
| West Delta | 2007 | PS = –1.737 + 0.0178FL | 0.15 | (0.03, 0.06) |
| West Delta | 2008 | PW = –2.609 + 0.0873FL | 0.48 | (0.05, 1.02) |
| West Delta | 2008 | PS = –2.075 + 0.0323FL | 0.30 | (0.03, 0.08) |
| West Delta | 2008 | PN = –0.196 + 0.045FL | 0.29 | (3.0, 14.3) |
Larval Longfin Smelt consumed mostly Eurytemora spp. copepodids and adults, whereas juvenile fish consumed a greater variety of prey items, including eventually large copepods (e.g., Acartia spp. and Tortanus spp.) and mysids (Fig. 6, Table 3). In all years and regions of the estuary, except the dry years in Napa River, larval fish consistently consumed predominantly Eurytemora spp. (38–90% of diet by weight). In 2007 and 2008 in Napa River, however, Other Zooplankton dominated larval diets (50-65% of diet, barnacle nauplii in 2007 and rotifers in 2008, Fig. 5). In the two previous wetter years, larval fish consumed relatively few (or no) rotifers or barnacle nauplii, when the availability of these prey types was low (Fig. 4). Rotifers had three times greater densities than barnacles in 2008 (Fig. 4).

Table 3. Prey type contributions by percent number for the Cyclopoids, Other Copepods, and Other Zooplankton grouped categories for larval (<25 mm) Longfin Smelt. The first and second highest categories are listed along with the percent contribution in parentheses.
| Year | Region | Cyclopoids | Other Copepods | Other Zooplankton |
|---|---|---|---|---|
| 2005 | Napa River | Limnoithona (100) | Copepod Nauplii (65) Copepod Copepodids (8) | Isopods (25) Daphnia (25) Clams (25) Barnacle Nauplii (25) |
| 2005 | Suisun Bay | Limnoithona (44) Copepoidids (33) | Sinocalanus (72) Unid Calanoids (14) | Insect Larvae (100) |
| 2005 | Suisun Marsh | Other Cyclopoids (100) | Sinocalanus (100) | None |
| 2005 | San Pablo Bay | Other Cyclopoids (38) Copepodids (29) | Unid Calanoids (25) Calanoid Copepodids (25) | Daphnia (80) Barnacle Nauplii (20) |
| 2006 | Napa River | Limnoithona (53) Copepodids (33) | Copepod Nauplii (55) Unid Copepods (18) | None |
| 2006 | Suisun Bay | Other Cyclopoids (50) Copepodids (25) Limnoithona (25) | Sinocalanus (33) Diaptomus (33) Unid Calanoid (33) | Rotifers (100) |
| 2006 | Suisun Marsh | Copepodids (100) | Copepod Nauplii (85) Unid Copepods (15) | None |
| 2007 | Napa River | None | Copepod Nauplii (78) Unid Calanoids (11) Unid Copepods (11) | Worm Pieces (71) Barnacle Nauplii (23) |
| 2007 | Suisun Bay | Acanthocyclops (35) Copepodids (27) | Copepod Nauplii (55) Unid Calanoids (26) | Other Zooplankton (51) Worm Pieces (38) |
| 2007 | Suisun Marsh | Copepodids (44) Acanthocyclops (32) | Copepod Nauplii (70) Unid Calanoids (26) | Worm Pieces (29) Terrestrial Invertebrates (14) |
| 2007 | West Delta | Acanthocyclops (50) Other Cyclopoids (25) Copepodids (25) | Sinocalanus (85) Unid Calanoids (11) | Other Zooplankton (100) |
| 2008 | Napa River | Copepodids (83) Limnoithona (17) | Copepod Nauplii (82) Harpacticoids (15) | Worm Pieces (44) Rotifers (40) |
| 2008 | Suisun Bay | Limnoithona (54) Copepodids (24) | Unid Calanoids (33) Copepod Nauplii (25) | Worm Pieces (37) Barnacle Nauplii (37) |
| 2008 | Suisun Marsh | Limnoithona (54) Copepodids (25) Other Cyclopoids (25) | Unid Copepods (50) Copepod Nauplii (25) | None |
| 2008 | West Delta | Acanthocyclops (40) Copepodids (40) | Sinocalanus (72) Copepod Nauplii (19) | Daphnia (50) Other Cladocerans (50) |
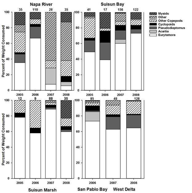
The diets of juvenile fish were more varied than those of larvae, differed by region, and often included a sizable proportion of Mysids (c.f., Figs. 6, 7). In San Pablo Bay, juveniles in the dry years (2007 and 2008) consumed mostly Acartia spp. (>75% of diets). In this region in the wet year 2005, juveniles relied on Other Copepods (almost 40% of diets, mainly the large copepod Tortanus spp.; Table 4) and Mysids (~35%). In the wet year 2006, juveniles consumed almost equal amounts of adult Eurytemora spp., Acartia spp., Other Copepods, and Mysids in this region. In Napa River, juveniles in 2006 consumed mostly adult Eurytemora spp. and Mysids (almost 40% of diets each), whereas in 2005 over 75% of diets were Mysids. In 2008, Acartia spp. was present in Napa River diets, as well as Other Zooplankton yet Mysids comprised the highest proportion of the diets. Juvenile fish in Suisun Bay consumed Mysids in all years, but especially in 2006 and 2008 (>60% of diets). In this region in 2005 and 2007, diets consisted of 30–50% Pseudodiaptomus spp., and much lesser proportions in 2006 and 2008. In Suisun Marsh, juveniles during dry years consumed large amounts of adult Eurytemora spp. (up to 50% of diets), and Pseudodiaptomus spp. (~25% in 2007) or Mysids (>50% in 2008). Finally, in the West Delta, juveniles consumed mostly Pseudodiaptomus spp. (40–55%), and some Mysids in both years but more in 2008 (~30% of diet). Across all regions, most of the Mysids consumed were Hyperacanthomysis longirostris, with some Neomysis kadiakensis.

Table 4. Prey type contributions by percent number for the Cyclopoids, Other Copepods, and Other Zooplankton grouped categories for juvenile (>25 mm) Longfin Smelt. The first and second highest categories are listed along with the percent contribution in parentheses
| Year | Year | Cyclopoids | Other Copepods | Other Zooplankton |
|---|---|---|---|---|
| 2005 | San Pablo Bay | Limnoithona (46) Unid Cyclopoids (23) | Tortanus (67) Unid Calanoids (12) | Cumaceans (50) Barnacle Nauplii (50) |
| 2005 | Napa River | Limnoithona (100) | Tortanus (45) Sinocalanus (18) Copepod Nauplii (18) Harpacticoids (18) | None |
| 2005 | Suisun Bay | Limnoithona (81) Other Cyclopoids (13) | Sinocalanus (71) Unid Calanoids (15) | Bosmina (50) Palemon (50) |
| 2006 | San Pablo Bay | Limnoithona (74) Other Cyclopoids (15) | Tortanus (71) Unid Copepod (7) Unid Calanoid (7) | Barnacle Nauplii (69) Cumaceans (12) |
| 2006 | Napa River | Limnoithona (75) Other Cyclopoids (25) | Unid Calanoids (57) Calanoid Copepodids (29) | None |
| 2006 | Suisun | Limnoithona (71) Copepodids (14) Other Cyclopoids (14) | Sinocalanus (33) Tortanus (13) Acartiella (13) | None |
| 2007 | San Pablo Bay | Limnoithona (50) Copepodids (50) | Epilabidocera (33) Unid Calanoids (39) | Barnacle Nauplii (84) Worm Pieces (5) |
| 2007 | Napa River | Limnoithona (100) | None | Worm Pieces (100) |
| 2007 | Suisun Bay | Limnoithona (45) Acanthocyclops (22) Copepodids (22) | Copepod Nauplii (53) Sinocalanus (21) | Worm Pieces (73) Other Zooplankton (13) |
| 2007 | Suisun Marsh | Acanthocyclops (47) Other Cyclopoids (30) | Copepod Nauplii (42) Unid Copepod (21) | Worm Pieces (86) Other Zooplankton (14) |
| 2007 | West Delta | Other Cyclopoids (100) | Unid Calanoids (52) Sinocalanus (48) | None |
| 2008 | San Pablo Bay | None | Unid Calanoids (100) | None |
| 2008 | Napa River | Limnoithona (92) Unid Cyclopoids (8) | Copepod Nauplii (89) Unid Calanoids (3) | Rotifers (44) Barnacle Nauplii (37) |
| 2008 | Suisun Bay | Limnoithona (76) Copepodids (12) | Unid Calanoids (36) Sinocalanus (27) | Barnacle Nauplii (40) Prickly Sculpin (20) Daphnia (20) |
| 2008 | Suisun Marsh | Copepodids (35) Acanthocyclops (30) | Copepod Nauplii (36) Sinocalanus (21) | Ostracods (100) |
| 2008 | West Delta | Limnoithona (92) Other Cyclopoids (8) | Sinocalanus (92) Unid Calanoids (2) | Other Zooplankton (80) Ostracods (20) |
Prey selectivity.—Larval fish in all regions and years (except for Napa River in dry years), positively selected for Eurytemora spp. (Fig. 8). In 2007 and 2008 in Napa River, larval fish neutrally selected for Eurytemora spp., but positively selected Other Zooplankton (barnacle nauplii and rotifers; Fig. 8B). For all other prey types, larvae exhibited either neutral or negative selection (often Cyclopoids [Limnoithona spp.] and Other Zooplankton). Juvenile fish, however, either neutrally or negatively selected for Eurytemora spp. in all years and regions, except in Suisun Marsh in 2008. Instead, juvenile fish selection varied by region. In San Pablo Bay, juveniles positively selected for Acartia spp. in the two dry years, but neutrally selected for them in the two preceding wet years (Fig. 8A). The pattern was reversed for Mysids: in 2005 and 2006 San Pablo Bay fish selection was positive and in 2007 and 2008, selection was neutral (Fig. 8A). Because we do not have Mysid data for Napa River, we did not calculate selection indices for juvenile fish in this region, although they would most likely be positive for Mysids given the proportion of Mysids in diets (Fig. 7). In Suisun Bay, juveniles in all years (except 2007) positively selected for Mysids; in 2007, juveniles positively selected for Pseudodiaptomus spp. instead (Fig. 8D). In 2007, juveniles positively selected for Amphipods in Suisun Marsh, whereas in 2008 they positively selected for Mysids and adult Eurytemora spp. (Fig. 8E). Finally, in the West Delta, juveniles positively selected for Pseudodiaptomus spp. in 2007 and Mysids in 2008.

Zooplankton density and stomach fullness.—For both larval and juvenile fish, there was no relationship between stomach fullness and any measure of zooplankton density (i.e., as total zooplankton, or density of Eurytemora spp. for larvae; or Mysid, Acartia spp., or Pseudodiaptomus spp. densities for juveniles; P > 0.05 for all, (not shown)). For larvae, zooplankton density (as total zooplankton or solely Eurytemora spp. density) explained a modest amount of variance in the percent by weight of Eurytemora spp. in the diet (r2 < 0.15, P < 0.001). Among juveniles, the mean percent of Mysids in the diet (by region and year) was positively related to the mean density of Mysids in the plankton (linear regression, r2 = 0.682, P < 0.001). There was no relationship between percent by weight of Pseudodiaptomus spp. in the diet and density in the field. For juveniles, but not larvae, the mean selection indices (by region and year) of Eurytemora spp. increased as the environmental density of Eurytemora spp. increased (linear regression, r2 = 0.55, P = 0.002; Fig. 9A); for larvae selection indices were generally high regardless of Eurytemora spp. density in the environment (Fig. 9A). For both larvae and juveniles, Mysid selection indices significantly increased as Mysid density increased in the environment (linear regression, r2 = 0.89 and 0.58, P < 0.05 for both; Fig. 9B). Using 5 mm length bins and averaging the diet contribution of Eurytemora spp. (%N) across regions and years, there was a significant increase in diet contribution with increasing Eurytemora spp. density in the field (r2 = 0.78, P = 0.004) though the diet contribution declined with fish growth after a peak when most Longfin Smelt achieved 15–20 mm FL (Fig. 9C).

Discussion
This is the first study in the SFE to explore the diets of larval and young juvenile Longfin Smelt as functions of fish size and prey density during two wet (2005 and 2006) and two dry years (2007 and 2008) (although see Barros et al. 2022). Our results point to four main findings. First, high frequencies of empty stomachs coupled with otherwise generally low stomach fullness indices suggest that these young fish do experience food limitation in many regions of the estuary, especially during dry years. Second, large fish consume more total prey (by weight) than small fish in most regions and years, and juvenile Longfin Smelt accomplished this by consuming larger sized prey than larvae, except in eastern (upstream) regions during dry years. Third, unless larvae were swamped by another prey item, they consistently and selectively consumed Eurytemora spp. copepodids and adults, regardless of this copepods’ density. Fourth, juvenile fish consumed a greater diversity of prey than larvae and positively selected for Mysids when present, but switched to smaller adult calanoid copepods when very low Mysid densities occurred in the eastern regions during dry years. This forced switch from large Mysids to smaller calanoid copepods explains the tendency in dry years for juvenile Longfin Smelt to increase the number of prey consumed rather than the size of prey consumed. These results suggest that the current densities and quality (size) of zooplankton in the SFE are limiting feeding and perhaps the growth and survival of young Longfin Smelt.
Spring and early summer prey selection and prey-item abundance available to young Longfin Smelt is now much different than it was in the 1960s when studies of the pelagic food web were first initiated (Brown et al. 2016). Eurytemora affinis and Neomysis mercedis, which dominated the zooplankton biomass of the low salinity zone (0.2–6 psu; Orsi and Mecum 1986; Winder and Jassby 2011) historically and supported the diets of many young fishes (Heubach et al. 1963; Feyrer et al. 2003; Bryant and Arnold 2007), are now remnants of their former abundance (Orsi and Mecum 1986; Kimmerer et al. 1994; Kimmerer and Orsi 1996). Species introductions changed the prey field: the invasive “overbite” clam Potamocorbula amurensis became abundant immediately after introduction in 1987 (Nichols et al. 1990) and rapidly reduced pelagic productivity and zooplankton abundance (see Winder and Jassby 2011); about the same time other species introductions occurred (Table 5). Not all have been detrimental. The introduction and establishment of Pseudodiaptomus forbesi has since proved beneficial as it provides important summer forage for young fish (e.g., Hobbs et al. 2006; Bryant and Arnold 2007; Slater and Baxter 2014; Slater et al. 2019) and the introduction of Hyperacanthomysis longirostris and its subsequent dominance in the mysid community at least partially offset the loss of N. mercedis (Winder and Jassby 2011; Hennessy 2017; Avila and Hartman 2020). The small invasive cyclopoid copepod, Limnoithona tetraspina, quickly became very abundant after its introduction in 1993 (Table 5; Winder and Jassby 2011), but its small size and sedentary behavior potentially limit its susceptibility to predation by visual predators (e.g., Bouley and Kimmerer 2006); though Slater and Baxter (2014) documented considerable predation by Delta Smelt under certain circumstances. The current dominance of Limnoithona tetraspina of the upper estuary food web completed a community shift away from a rotifer, calanoid-copepod, mysid dominated community to a bacteria, ciliate, cyclopoid-copepod dominated community where mysids play a much smaller role and food quality of the zooplankton prey field has declined (Winder and Jassby 2011). Such is the backdrop for this study.
Table 5. Species name, year of first detection, year species became abundant, and supporting citation for zooplankton introduced to the San Francisco Estuary in the late 1980s and thereafter.
| Species | Year of detection | Year abundant | Citation |
|---|---|---|---|
| Pseudodiaptomus marinus | 1986 | Orsi and Walter 1991 | |
| Pseudodiaptomus forbesi | 1987 | Orsi and Walter 1991 | |
| Acartiella sinensis | 1993 | 1994 | Orsi and Ohtsuka 1999 |
| Tortanus dextrilobatus | 1993 | Orsi and Ohtsuka 1999 | |
| Limnoithona tetraspina | 1993 | 1994 | Orsi and Ohtsuka 1999 |
| Acanthomysis bowmani* | 1993 | Modlin and Orsi 1997 |
Given these food web changes, it is not surprising that our results show a large percentage of both larval and juvenile Longfin Smelt had completely empty stomachs (regionally up to 39% for larvae and up to 70% for juveniles; Table 1). During a couple overlapping study years, Slater and Baxter (2014) reported a lower incidence of empty Delta Smelt stomachs for larvae and a considerably lower incidence for juveniles than we found for Longfin Smelt larvae and juveniles. Moreover, for both Longfin Smelt life stages in most regions and years, stomachs with food were not close to full (fullness ≤ 1.0, or ≤ 10% of maximum ration of 2.0; Fig. 5). However, our observations, taken from fish collected from early morning through early afternoon, may underrepresent the daily consumption if feeding continues throughout the 24-hour cycle, particularly if peak feeding intensity occurs between twilight and mid-night as Dryfoos (1965) observed for older Longfin Smelt in Lake Washington. Hobbs et al. (2006) provides evidence that local Longfin Smelt do feed day and night, likely using their large and well-developed olfactory system (Foott and Stone 2007). Furthermore, Hobbs et al. (2006) found mean gut fullness higher in hours of darkness than during daylight. Thus, our values from daylight-collected samples likely underestimate fullness compared to samples taken at night. Additionally, since there is no information on Longfin Smelt digestion rates, we do not know if our values are representative of the entire day’s feeding, or just some number of hours. Nonetheless, we believe the low fullness values together with high instances of empty stomachs suggest that young Longfin Smelt are periodically experiencing some food limitation in the SFE.
We expected that larval fish would show more signs of food limitation than juvenile fish because of increases in feeding capability with increased fish size (Keast and Webb 1966; Webb 1976; Beamish 1978; Bremigan and Stein 1994; DeVries et al. 1998). In general, however, we found little difference in mean fullness values by life stage (fish size), and no clear, consistent fullness patterns by region. We found no significant relationships between various measures of prey density and fullness values, possibly because of strong selection (i.e., not all prey types are readily eaten) and preferred prey availability was low compared with historical abundances (Eurytemora spp. and mysids; Kimmerer 2002; Winder and Jassby 2011) and is typically not sufficient to drive fullness measures. It is equally possible that the integrating nature of the tows used to collect zooplankton and fish mask increasingly patchy distributions of both predators and prey. As a result, these fish may have lower encounter rates with preferred prey (Kimmerer 2002) and poorer feeding success than might be inferred from sampling data. Because young fish often have limited energy reserves for growth and development (Hunter 1981), they can be more susceptible to food limitation and starvation than adults (Houde 1989). Adult Longfin Smelt have much lower frequencies of empty stomachs: <15% in Lake Washington and <11% in SFE (Chigbu and Sibley 1998a; Feyrer et al. 2003). Thus, the observed high frequencies of empty stomachs and frequency of low fullness values (<<1.0) likely reflect a potential risk of poor growth as a result of a poor feeding environment for young Longfin Smelt.
As hypothesized, larger fish consumed more prey (by weight) than small fish in all regions and years, primarily because the size of prey consumed increased with fish size (Table 2). It is not surprising that larger fish are better able to capture and manipulate larger prey than smaller fish, because they can swim for longer periods of time and at faster speeds and have better visual acuity and larger gape widths (Keast and Webb 1966; Webb 1976; Beamish 1978; Bremigan and Stein 1994; DeVries et al.1998). Further, by selecting for larger prey items when available, fish optimize energy acquired and maximize feeding efficiency (Ivlev 1961; Werner and Hall 1974; Werner and Gilliam 1984; Harper and Blake 1988). This ontogenetic shift in diet has been described for many fish species (Keast and Webb 1966; Popova 1967, 1978; Juanes 1994), as well as for Longfin Smelt in Lake Washington (Chigbu and Sibley 1994, 1998a,b) and the Columbia River (Bottom et al. 1984). In the Lake Washington population, smaller Longfin Smelt (<80 mm) feed on small prey items (Daphnia spp. and copepods) whereas larger fish (>80 mm) consume large mysids, amphipods, and even larval fish (Chigbu and Sibley 1994, 1998a,b). Although our study focused on much smaller juvenile fish (<45 mm), we also observed that larger individuals consumed larger prey, often mysids, in most regions and years (see also Barros et al. in 2022). Interestingly, the greatest amount and largest prey consumed occurred in Napa River in 2005 and 2006, implying that juvenile fish were more successful at feeding in this region in wet years than in other regions and water-year types. However, during dry years—2007 and 2008 in Napa River, and 2007 in Suisun Marsh and the West Delta—the increase in prey weight was not due to larger prey being consumed, but rather to greater numbers of prey consumed (Table 2). Juvenile fish consumed few mysids in Napa River during dry years, instead consuming mostly large brackish-water copepods, Acartia spp. and Tortanus spp. In fresher water habitats within Suisun Marsh and the West Delta in 2007, juvenile fish consumed much more of the modest-sized Pseudodiaptomus spp. instead of mysids. These three calanoid copepod species are much smaller (Wet Weight of Acartia spp. = 0.072 mcg, Tortanus spp. = 0.220 mcg, Pseudodiaptomus forbesi = 0.055 mcg) than mysids (mean wet weight in San Pablo Bay = 4.2 mcg, Napa River = 2.1 mcg, Suisun Bay = 2.4 mcg, Suisun Marsh = 2.2 mcg, West Delta = 0.9 mcg), resulting in a weaker relationship with prey size than with prey number in these regions and indicating that the feeding environment was not optimal. Additionally, while juveniles in Suisun Marsh and Napa River during 2008 partially compensated for eating smaller prey items by eating numerically more copepods (~21 and 25 prey items per stomach by 30 mm FL, respectively, and total prey weights 4th and 5th highest of all regions and years), those in the West Delta and Napa River during 2007 did not. Juveniles in these two regions consumed amongst the lowest total prey weights observed for the estuary, consuming on average about half as many prey items (~11 and 12 items per stomach). Thus, in some regions and years, even the density of smaller prey appears insufficient to compensate for the scarcity of larger prey types.
Also as hypothesized, larval fish had much narrower diets and different prey preferences than juvenile fish. Like the findings of Barros et al. (2022), we observed larval Longfin Smelt predominantly consumed and positively selected for Eurytemora spp. copepodids and adults in all regions and years, except when encountering exceptionally high densities of rotifers and barnacle nauplii during dry years (Figs. 4, 6, 7). These high barnacle and rotifer densities may have had a swamping effect, ultimately interfering with larval fish ability to successfully pick out, track, and capture other prey items. Selection for a prey type can be influenced by several factors, including prey density, quality, behavior, and handling time (Holling 1959; Rashevsky 1959; Ivlev 1960; Holling 1966; Eggers 1977). For instance, because of differences in prey behavior, fish may have a harder time tracking cyclopoid copepods’ “hop then sink swimming” than calanoid copepods’ “smooth swimming behaviors” (Kerfoot et al. 1980; Bouley and Kimmerer 2006). In addition, fish may select for higher quality prey (i.e., calanoid copepods) over less nutritious and smaller prey (i.e., cyclopoids) (Klein Breteler et al. 2004; Bouley and Kimmerer 2006; Brett et al. 2009; Winder and Jassby 2011). Thus, it is not surprising that larval fish positively selected for the calanoid copepod Eurytemora spp. and showed neutral or even negative selection for the often more abundant and smaller cyclopoid copepods, predominantly Limnoithona tetraspina. Similarly, since rotifers are much smaller than both barnacle nauplii and Eurytemora spp. (Winder and Jassby 2011), they likely provide fewer calories per individual. Therefore, it would likely only be beneficial to consume them if their foraging costs were low (i.e., only when occurring in very high densities) as we observed (Fig. 4). Barnacle nauplii, while similar in size to Eurytemora copepodids, are much faster swimmers (Anderson 1974; Miller et al. 1982; Fulton and Wear 1985; Green et al.1986) which could reduce capture efficiency, increase capture and handling time and the energetic cost of catching and consuming this prey. In addition, the presence of horns on barnacle nauplii may be a structural defense against predation by fish, further increasing handling time or decreasing capture efficiency (Jacobs 1965; Gilbert 1966; Havel and Dodson 1984; Harvell 1984; Havel 1987; Forbes 1989; Morgan 1989; Barnhisel 1991), both of which would increase the costs of consuming this prey. Thus, during dry years in the Napa River, larval fish may be exposed to a poorer feeding environment than in wet years or in other regions of the estuary.
Compared with larval fish, as hypothesized, juvenile Longfin Smelt had more diverse diets that were much more influenced by regional and water-year type differences in prey density (Figs. 6, 7). Nonetheless, in most regions and years, mysids were the dominant prey type of juveniles, contributing up to 75% of diets (Napa River 2005) but often over 40%, even though mysid density was always much lower than that of other zooplankton species (Fig. 3). Juvenile fish positively selected for mysids, except when their densities were extremely low (Fig. 8). When this occurred (in all regions in 2007 and San Pablo Bay in 2008), juveniles positively selected for the dominant calanoid copepod species as an alternative: Acartia spp. in San Pablo Bay (80% of diets), Pseudodiaptomus spp. in Suisun Bay and the West Delta (45–55%) and Eurytemora spp. in Suisun Marsh (45–55%). In Napa River during the wettest year (2006), Eurytemora spp. was also positively consumed (40% of diets). In all other regions and years, these calanoids made up less than 25% of diets (Fig. 7). Consistent with our results, Chigbu (1993) showed that adult Longfin Smelt relied heavily on mysids, but would also select for alternative prey types when mysids were present in low abundances. Historically in the SFE, adult Longfin Smelt consumed a greater diversity of prey types as mysid abundance decreased from highs in spring to lows in fall (Feyrer et al. 2003). In our study, individual calanoid copepods varied from 10–30% of the weight of typical mysids consumed and may be a poor nutritional and energetic substitute as a result (Nobriga and Feyrer 2008). Thus, when mysids are unavailable as food (primarily during dry water years) the growth and survival of young Longfin Smelt may be negatively affected.
While both life stages of Longfin Smelt are capable of consuming alternative prey types, each still relies predominately on prey that have experienced severe declines in abundance: Eurytemora spp. for larvae and mysids for young juveniles. Eurytemora spp. abundance has not only been declining since the 1970s (Kimmerer and Orsi 1996), but its peak has shifted to earlier in the year to spring, reducing its seasonal availability (Kimmerer 2002; Winder and Jassby 2011; Merz et al. 2016; Hennessy 2017). This could have created a mismatch in when larvae are present and when their preferred prey are present, thus decreasing contact rates between them (Hinrichsen et al. 2005) and possibly reducing first feeding success of larvae. Instead, the spring (March-May) increased abundance period of Eurytemora spp. coincides with the latter portion of first feeding larvae, as evidenced by presence of yolk-sac larvae, and the abundance of older larvae (Baxter 1999) and based on our work provides a timely and important food source, because it shares the same brackish water habitat and is apparently easily captured (Meng and Orsi 1991). Further, increased outflows during the spring increases and extends this spring abundance period of Eurytemora spp. throughout May (Kimmerer and Orsi 1996; Kimmerer 2002; Hennessy 2017) further improving feeding opportunities. This was evident by its high densities measured in the wet year 2006 compared to other years in this study. We also found an increase in the number and weight of Eurytemora spp. consumed by larvae as this copepod’s density in the plankton increased (Fig. 9A, C), suggesting that good years for this copepod (recently, wet years, Kimmerer 2002) should be good years for larval Longfin Smelt. However, abundance of Eurytemora spp. is not high throughout the entire late December through May period when Longfin Smelt larvae initiate first feeding (c.f., yolk-sac larvae presence; Baxter 1999). Prior to March, young larvae rely on Limnoithona tetraspina as an important food source (CDFW unpublished). Our data for the March through May period show Limnoithona tetraspina made a small and inconsistent contribution to diets of larval Longfin Smelt but were more consistently consumed by juveniles (yet small contribution to diet by weight) later in the summer of most years (c.f. Cyclopoids in Table 3 and Fig. 6 for larvae and Table 4 and Fig. 7 for juveniles). Although other researchers concluded that Limnoithona tetraspina represents a poor food source, is difficult to detect and catch (see discussion in Winder and Jassby 2011), it may be an adequate early food for young Longfin Smelt larvae that do not rely on vision for feeding and whose growth in winter appears slow (Baxter et al. 2010) and perhaps sufficiently supported by Limnoithona tetraspina until Eurytemora spp. becomes more abundant as water warms in spring. However, for juveniles, reliance on consumption of such a small prey item as Limnoithona tetraspina to any great degree likely indicates a less than optimal feeding environment (e.g., Slater and Baxter 2014).
Although this is the first multi-regional information on the diets of larval Longfin Smelt in the SFE (see Barros et al. 2022), other species of larval fish have been shown to rely on Eurytemora affinis and actively select for it (Striped Bass- Meng and Orsi 1991; Bryant and Arnold 2007; Delta Smelt- Nobriga 2002, Slater and Baxter 2014). These species partially overlap in time and space with larval Longfin Smelt (Turner and Chadwick 1972; Stevens et al. 1985; Emmett et al. 1991; Moyle et al. 1992; Dege and Brown 2004), making interspecific competition for this prey item possible, even likely in late spring when all are present, decreasing its availability even more.
Like Eurytemora affinis, the abundance of the native mysid Neomysis mercedis has decreased by more than 90% since the late 1960s (Kimmerer and Orsi 1996; Orsi and Mecum 1996; Winder and Jassby 2011). Mysids have been shown to be historically important for young-of-the-year, juveniles and small adults of many species of fish in the SFE, including Longfin Smelt, Striped Bass, and Splittail, and decreases in mysid abundance have been linked to declines in these fish populations (Feyrer et al. 2003). A decline in the Lake Washington population of Longfin Smelt also occurred after the mysid population crashed (Dryfoos 1965; Chigbu and Sibley 1994, 1998a). Chigbu and Sibley (1994) suggest that the Longfin Smelt decline was due to food limitation in the early juvenile life stage. They found a reduction of 25% in fish body size while concurrently young fish stopped feeding on mysids (Chigbu and Sibley 1994). This may have resulted in reduced growth (Mills et al. 1989a) that ultimately lowered survival and reproduction (Chigbu and Sibley 1994). While juveniles in our study still consumed mysids during summer months, they are no longer feeding on the large native N. mercedis, but on a smaller, less abundant, invasive species, H. longirostris (Winder and Jassby 2011, this study). This invasive mysid is slimmer at length and achieves a smaller maximum size compared to N. mercedis (Avila and Hartman 2020), so is likely to be of lower nutritional value. Nonetheless, we found an increase in mysid consumption (by weight) in juvenile Longfin Smelt and stronger selection for mysids in both larval and juvenile fish when mysid densities increased in the plankton (Fig. 9). Thus, our results indicate that mysids remain important to the diets of small fish and would likely contribute more at higher densities (as early instars), and that any increase in mysid density would also likely positively affect juvenile feeding success.
Despite the importance of growth and survival of larval and juvenile fish for recruitment and population success and the potential for food to be part of the underlying mechanism for the Longfin Smelt outflow vs abundance relationship (i.e., effects of outflow and associated factors in winter and spring are believed the basis for the outflow vs. fall Longfin Smelt abundance relationships; Jassby et al. 1995; Kimmerer 2002; Kimmerer et al. 2009, 2013), there have been no studies, before this study, on the feeding success and diet as a function of water-year type (i.e., outflow magnitude) during early life. Consistent with what others have found for the SFE (Baxter 1999; Dege and Brown 2004; Rosenfield 2010; Grimaldo et al. 2020), wet high outflow years dispersed larval and juvenile Longfin Smelt westward into San Pablo Bay, whereas in dry years lower outflow restricts fish to further up the estuary. In the two wet years in our study (2005 and 2006), the majority of both larval and juvenile fish were collected in San Pablo Bay and Napa River, and to a lesser extent in Suisun Bay and Marsh. In these regions and years, larval fish diets consisted of mainly Eurytemora spp., and juvenile diets of predominantly mysids, matching their apparent preferences and perhaps providing for success. Conversely, in the two dry years that followed (2007 and 2008), larvae and juveniles were caught farther upstream in the West Delta, in addition to Suisun Bay and Marsh and some in San Pablo Bay. Although larvae remained focused on consuming Eurytemora spp. during these dry years, juveniles relied more frequently on several copepod species and other relatively small prey, and less so on mysids. This was also reflected by juveniles in Suisun Bay and the West Delta having the lowest values for total weight consumed at size suggesting that other water year types and regions provided better food environments for these fish. Most notably, we found that increases in the environment of the two dominant prey types, Eurytemora spp. and mysids, were tied to increases in the presence of these two prey types in diets.
Our results suggest that the current densities and quality of zooplankton in the San Francisco Estuary in most years are limiting the feeding success and thus potentially the growth and survival of young Longfin Smelt. Our results also provide evidence that improved feeding (larger, selected prey) during wet years is a likely factor underlying the outflow-abundance relationship for Longfin Smelt, but this benefit too is not universal across all regions and all wet years (e.g., 2006 in Suisun Bay, Table 1).
Acknowledgments
This work was conducted under the auspices of the Interagency Ecological Program (IEP). Funding for the IEP work plan element (062) CDFW Quantitative Analysis of Stomach Contents and Body Weight for Pelagic Fishes (“Diet and Condition Study”) that conducted this work was provided by contracts with the Department of Water Resources (4600011826) and the U.S. Bureau of Reclamation (R20AC00089). The authors would like to thank T. Bippus and T. Gabel who processed the gut contents of the fish. The field and laboratory staff of the 20-mm Survey and the IEP Zooplankton Study for the collection and processing of zooplankton samples used in this work. The field and laboratory staff of the 20-mm, Summer Townet and San Francisco Bay Study surveys for collection and identification of the larval and small juvenile Longfin Smelt used for diet analyses. We thank J. Hobbs, S. Slater, A. Hennessy, R. Hartman, J. Jimenez, and two anonymous reviewers whose review and comments contributed to improving the content and clarity of this manuscript.
Literature Cited
- Alpine, A. E., and J. E. Cloern. 1992. Trophic interactions and direct physical effects control phytoplankton biomass and production in an estuary. Limnology and Oceanography 37(5):946–955.
- Anderson, E. 1974. Trophic interactions among ctenophores and copepods in St. Margaret’s Bay, Nova Scotia. Dissertation, Dalhousie University, Halifax, Novia Scotia, Canada.
- Avila, M., and R. Hartman. 2020. San Francisco Estuary mysid abundance in the fall, and the potential for competitive advantage of Hyperacanthomysis longirostris over Neomysis mercedis. California Fish and Wildlife 106:19–38.
- Barnhisel, D. R. 1991. Zooplankton spine induces aversion in small fish predators. Oecologia 88(3):444–450.
- Barros, A., J. Hobbs, M. Willmes, C. Parker, M. Bisson, N. Fangue, A. Rypel, and L. Lewis. 2022. Spatial heterogeneity in nursery value of wetlands for a threatened estuarine smelt: Prey availability, feeding success, and dietary preference. Estuaries and Coasts. Available from: https://doi.org/10.1007/s12237-021-01024-y
- Baxter, R. 1999. Osmeridae. Pages 179–216 in J. Orsi, editor. Report on the 1980–1995 fish, shrimp, and crab sampling in the San Francisco Estuary, California. Technical Report 63. Interagency Ecological Program. California Department of Fish and Game, Stockton, CA, USA. Available from: http://www.estuaryarchive.org/archive/ orsi_1999/
- Baxter, R., R. Breuer, L. Brown, M. Chotkowski, F. Feyrer, M. Gingras, B. Herbold, A. Mueller-Solger, M. Nobriga, T. Sommer, and K. Souza. 2008. Pelagic Organism Decline Progress Report: 2007 Synthesis of Results. Interagency Ecological Program for the Sacramento-San Joaquin Estuary Technical Report. Available from: https://www.waterboards.ca.gov/waterrights/water_issues/programs/bay_delta/pelagic_organism/docs/pod_ieppodmt_2007synthesis_011508.pdf
- Baxter, R., R. Breuer, L. Brown, L. Conrad, F. Feyrer, S. Fong, K. Gehrts, L. Grimaldo, B. Herbold, P. Hrodey, A. Mueller-Solger, T. Sommer, and K. Souza. 2010. Interagency Ecological Program 2010 Pelagic organism decline work plan and synthesis of results through August 2010. Interagency Ecological Program for the San Francisco Estuary. Available from: https://www.waterboards.ca.gov/waterrights/water_issues/programs/bay_delta/docs/cmnt091412/sldmwa/baxter_etal_iep_2010.pdf
- Beamish, F. W. H. 1978. Swimming capacity. Pages 101–187 in W. S. Hoar and D. J. Randall, editors. Fish Physiology, Volume 7: Locomotion. Academic Press, New York, NY, USA.
- Bennett, W. A., W. J. Kimmerer, and J. R. Burau. 2002. Plasticity in vertical migration by native and exotic estuarine fishes in dynamic low-salinity zone. Limnology and Oceanography 47:1496–1507.
- Bottom, D. L., K. K. Jones, and M. J. Herring. 1984. Fishes of the Columbia River Estuary. Columbia River Estuary Data Development Program, Astoria, OR, USA.
- Bouley, P., and W. J. Kimmerer. 2006. Ecology of a highly abundant, introduced cyclopoid copepod in a temperate estuary. Marine Ecology Progress Series 324:219–228.
- Bremigan, M. T., and R. A. Stein. 1994. Gape-dependent larval foraging and zooplankton size: Implications for fish recruitment across systems. Canadian Journal of Fisheries and Aquatic Sciences 51:913–922.
- Brett, M. T., M. J. Kainz, S. M. Taipalea, and H. Seshana. 2009. Phytoplankton, not allochthonous carbon, sustains herbivorous zooplankton production. Proceedings of the National Academy of Science 106:21197–21201.
- Brown, L. R., W. Kimmerer, J. L. Conrad, S. Lesmeister, and A. Mueller-Solger. 2016. Food webs of the Delta, Suisun Bay, and Suisun Marsh: An update on current understanding and possibilities for management. San Francisco Estuary and Watershed Science 14(3):art4. http://dx.doi.org/10.15447/sfews.2016v14iss3art4
- Bryant, M. E., and J. D. Arnold. 2007. Diets of age-0 striped bass in the San Francisco Estuary, 1973–2002. California Fish and Game 93:1–22.
- Buckley, L. J. 1979. Relationships between RNA–DNA ratio, prey density, and growth rate in Atlantic cod (Gadus morhua) larvae. Journal of the Fisheries Board of Canada 36(12):1497–1502.
- Burdi, C. E., S. B. Slater, T. L. Bippus, and J. A. Jimenez. 2021. Myside and amphipod length-weight relationships in the San Francisco Estuary. Interagency Ecological Program Newsletter 40(1):15–25.
- California Department of Fish and Game (CDFG). 2009. A status review of the Longfin Smelt (Spirinchus thaleichthys) in California. Report to the Fish and Game Commission, California Natural Resource Agency, Sacramento, CA, USA.
- Chesson, J. 1983. The estimation and analysis of preference and its relationship to foraging models. Ecology 64:1297–1304.
- Chigbu, P. 1993. Trophic role of longfin smelt in Lake Washington. Dissertation, University of Washington, Seattle, WA, USA.
- Chigbu, P., and T. H. Sibley. 1994. Predation by Neomysis mercedis: effects of temperature, Daphnia magna size and prey density on ingestion rate and size selectivity. Freshwater Biology 32(1):39–48.
- Chigbu, P., and T. H. Sibley. 1998a. Feeding ecology of longfin smelt (Spirinchus thaleichthys Ayers) in Lake Washington. Fisheries Research 38:109–119.
- Chigbu, P., and T. H. Sibley. 1998b. Predation by longfin smelt (Spirinchus thaleichthys) on the mysid Neomysis mercedis in Lake Washington. Freshwater Biology 40(2):295–304.
- Chigbu, P., T. H. Sibley, and D. A. Beauchamp. 1998. Abundance and distribution of Neomysis mercedis and a major predator, longfin smelt (Spirinchus thaleichthys) in Lake Washington. Hydrobiologia 386(1):167–182.
- Dege, M., and L. R. Brown. 2004. Effect of outflow on spring and summer distribution and abundance of larval and juvenile fishes in the upper San Francisco Estuary. Pages 49–65 in F. Feyrer, L. Brown, R. Brown, and J. Orsi, editors. Early Life History of Fishes in the San Francisco Estuary and Watershed. American Fisheries Society, Symposium 39, Bethesda, MD, USA.
- DeVries, D. R., R. A. Stein, R. A., and M. T. Bremigan. 1998. Prey selection by larval fishes as influenced by available zooplankton and gape limitation. Transactions of the American Fisheries Society 127:1040–1050.
- Dryfoos, R. L. 1965. The life history and ecology of the longfin smelt in Lake Washington. Dissertation, University of Washington, Seattle, WA, USA.
- Eggers, D. M. 1977. The nature of prey selection by planktivorous fish. Ecology 58:46–59.
- Emlen, J. M. 1966. The role of time and energy in food preference. American Naturalist 100:611–617.
- Emmett, R. L., S. L. Stone, S. A. Hinton, and M. E. Monaco. 1991. Distribution and abundance of fishes and invertebrates in west coast estuaries, Volume II. Species Life History Summaries. ELMR Report No. 8, National Oceanic and Atmospheric Administration, National Ocean Survey Strategic Environmental Assessments Division, Rockville, MD, USA.
- Feyrer, F., B. Herbold, S. A. Matern, and P. B. Moyle. 2003. Dietary shifts in a stressed fish assemblage: Consequences of a bivalve invasion in the San Francisco Estuary. Environmental Biology of Fishes 67(3):277–288.
- Foott, J. S., and R. Stone. 2007. Histological evaluation and viral survey of juvenile Longfin Smelt (Spirinchus thaleichthys) and Threadfin Shad (Dorosoma petenense) collected from the Sacramento–San Joaquin River Delta, April–November 2007. California–Nevada Fish Health Center, U.S. Fish and Wildlife Service, Anderson, CA, USA.
- Forbes, L. S. 1989. Prey defenses and predator handling behavior: the dangerous prey hypothesis. Oikos 55:155–158.
- Fukuoka, K., and M. Murano. 2000. Hyperacanthomysis, a new genus for Acanthomysis longirostris Ii, 1936, and A. brevicornis Wang & Liu, 1997 (Crustacea: Mysidacea: Mysidae). Plankton Biology and Ecology 47(2):122–28.
- Fulton, R. S., and R. G. Wear. 1985. Predatory feeding of the hydromedusae Obelia geniculate and Phialla quadrata. Marine Biology 87:47–54.
- Gilbert, J. J. 1966. Rotifer ecology and embryological induction. Science 151:1234–1237.
- Graeb, B. D., J. M. Dettmers, D. H. Wahl, and C. E. Cáceres. 2004. Fish size and prey availability affect growth, survival, prey selection, and foraging behavior of larval yellow perch. Transactions of the American Fisheries Society 133:504–514.
- Green, C. H., M. R. Landry, and B. C. Monger. 1986. Foraging behavior and prey selection by the ambush entangling predator Pleurobrachia bachei. Ecology 67:1493–1501.
- Grimaldo, L., F. Feyrer, J. Burns, and D. Maniscalco. 2017. Sampling uncharted waters: examining rearing habitat of larval Longfin Smelt (Spirinchus thaleichthys) in the Upper San Francisco Estuary. Estuaries and Coasts 40:1771–1784. https://doi.org/10.1007/s12237-017-0255-9
- Grimaldo, L., J. Burns, R. E. Miller, A. Kalmbach, A. Smith, J. Hassrick, and C. Brennan. 2020. Forage fish larvae distribution and habitat during contrasting years of low and high freshwater flow in the San Francisco Estuary. San Francisco Estuary and Watershed Science 18(3):art5. https://doi.org/10.15447/sfews.2020v18iss3art5
- Hammock, B. G., J. A. Hobbs, S. B. Slater, S. Acuña, and S. J. Teh. 2015. Contaminant and food limitation stress in an endangered estuarine fish. Science of the Total Environment 532:316–326.
- Harper, D. G., and R. W. Blake. 1988. Energetics of piscivorous predator-prey interactions. Journal of Theoretical Biology 134(1):59–76.
- Harvell, C.D. 1984. Predator-induced defense in a marine bryozoan. Science 224:1357–1359.
- Havel, J. E., and S. I. Dodson. 1984. Chaoborus predation on typical and spined morphs of Daphnia pulex: behavioral observations. Limnology and Oceanography 29(3):487–494.
- Havel, J. E. 1987. Predator-induced defenses: a review. Pages 263–278 in W. C. Kerfoot and A. Sih, editors. Predation: Direct and Indirect Effects. University Press of New England, Hanover, PA, USA.
- Hennessy, A. 2017. Zooplankton monitoring 2013–2015. IEP Newsletter 30(1):9–20.
- Herbold, B. 1986. An alternative to the fullness index. Pages 315–320 in C. A. Simenstad and G. M. Cailliet, editors. Contemporary Studies on Fish Feeding. The Proceedings of GUTSHOP ’84, Pacific Grove, CA, USA.
- Herbold, B. 1987. Patterns of co-occurrence and resource use in a non-coevolved assemblage of fishes. Dissertation, University of California, Davis, CA, USA.
- Herbold, B., A. D. Jassby, and P. B. Moyle. 1992. Status and trends report on aquatic resources in the San Francisco Estuary. Report prepared for the U.S. Environmental Protection Agency, Oakland, CA, USA.
- Heubach, W., R. J. Toth, and A. M. McCready. 1963. Food of young-of-the-year Striped Bass (Roccus saxatilis) in the Sacramento-San Joaquin River system. California Fish and Game 49:224–239.
- Hinrichsen, H. H., J. O. Schmidt, C. Petereit, and C. Möllmann. 2005. Survival probability of Baltic larval cod in relation to spatial overlap patterns with their prey obtained from drift model studies. ICES Journal of Marine Science: Journal du Conseil 62(5):878–885.
- Hobbs, J. A., W. A. Bennett, and J. E. Burton. 2006. Assessing nursery habitat quality for native smelts (Osmeridae) in the low‐salinity zone of the San Francisco estuary. Journal of Fish Biology 69(3):907–922.
- Hobbs, J. A., L. S. Lewis, N. Ikemiyagi, T. Sommer, and R. D. Baxter. 2010. The use of otolith strontium isotopes (87Sr/86Sr) to identify nursery habitat for a threatened estuarine fish. Environmental Biology of Fishes 89:557–569.
- Holling, C. S. 1959. Some characteristics of simple types of predation and parasitism. Canadian Entomology 41:385–398.
- Holling, C. S. 1966. The functional response of invertebrate predators to prey density. Memoirs of the Entomological Society of Canada 48:1–86.
- Houde, E. D. 1989. Comparative growth, mortality, and energetics of marine fish larvae: temperature and implied latitudinal effects. Fishery Bulletin 87(3):471–495.
- Hunter, J. R. 1981. Feeding ecology and predation of marine fish larvae. Pages 33–77 in R. Lasker, editor. Marine Fish Larvae: Morphology, Ecology and Relation to Fisheries. Washington Sea Grant Program, University of Washington Press, Seattle, WA, USA.
- Ivlev, V. S. 1960. On the utilization of food by planktophage fishes. The Bulletin of Mathematical Biophysics 22:371–389.
- Ivlev, V. S. 1961. Experimental Ecology of the Feeding of Fishes. Yale University Press, New Haven, CT, USA.
- Jacobs, J. 1965. Significance of morphology and physiology of Daphnia for its survival in predator-prey experiments. Natur-wissenshaften 52:141.
- Jassby, A. 2008. Phytoplankton in the upper San Francisco Estuary: Recent biomass trends, their causes, and their trophic significance. San Francisco Estuary and Watershed Science 6(1).
- Jassby, A. D., W. J. Kimmerer, S. G. Monismith, C. Armor, J. E. Cloern, T. M. Powell, J. R. Schubel, and T. J. Vendlinski. 1995. Isohaline position as a habitat indicator for estuarine populations. Ecological Applications 5(1):272–289.
- Juanes, F. 1994. What determines prey size selectivity in piscivorous fishes? Pages 79–100 in D. J. Stouder, K. L. Fresh, and R. J. Feller, editors. Theory and Application in Fish Feeding Ecology. University of South Carolina Press, Columbia, SC, USA.
- Juanes, F., and D. O. Conover. 1994. Rapid growth, high feeding rates, and early piscivory in young-of-the-year bluefish (Pomatomus saltatrix). Canadian Journal of Fisheries and Aquatic Sciences 51(8):1752–1761.
- Jungbluth, M. J., J. Burns, L. Grimaldo, A. Slaughter, A. Katla, and W. Kimmerer. 2021. Feeding habits and novel prey of larval fishes in the northern San Francisco Estuary. Environmental DNA 3(6):1059–1080. doi.org/10.1002/end3.226
- Kayfetz, K., and W. Kimmerer.2017. Abiotic and biotic controls on the copepod Pseudodiaptomus forbesi in the upper San Francisco Estuary. Marine Ecological Progress Series 581:85–101.
- Kayfetz, K., S. M. Bashevkin, M. Thomas, R. Hartman, C. E. Burdi, A. Hennessy, T. Tempel, and A. Barros. 2020. Zooplankton Integrated Dataset Metadata Report. IEP Technical Report 93. California Department of Water Resources, Sacramento, CA, USA.
- Keast, A., and D. Webb. 1966. Mouth and body form relative to feeding ecology in the fish fauna of a small lake, Lake Opinicon, Ontario. Journal of the Fisheries Board of Canada 23(12):1845–1874.
- Kerfoot, W. C., D. L. Kellogg, Jr., and J. R. Strickler. 1980. Visual observations of live zooplankters: evasion, escape, and chemical defenses. Pages 10–27 in W. C. Kerfoot, editor. Evolution and Ecology of Zooplankton Communities. University Press of New England, Hanover, NH, USA.
- Kimmerer, W. J. 2002. Effects of freshwater flow on abundance of estuarine organisms: physical effects or trophic linkages? Marine Ecology Progress Series 243:39–55.
- Kimmerer, W. J. 2004. Open water processes of the San Francisco Estuary: from physical forcing to biological responses. San Francisco Estuary and Watershed Science 2(1).
- Kimmerer, W. J., E. Gartside, and J. J. Orsi. 1994. Predation by an introduced clam as the likely cause of substantial declines in zooplankton of San Francisco Bay. Marine Ecology Progress Series 113:81–93.
- Kimmerer, W. J., and J. J. Orsi. 1996. Changes in the zooplankton of the San Francisco Bay Estuary since the introduction of the clam, Potamocorbula amurensis. Pages 403–424 in J. T. Hollibaugh, editor. San Francisco Bay: The Ecosystem. American Association for the Advancement of Science, San Francisco, CA, USA.
- Kimmerer, W. J., J. R. Burau, and W. A. Bennett. 1998. Tidally-oriented vertical migration and position maintenance of zooplankton in a temperate estuary. Limnology and Oceanography 43:1697–1709.
- Kimmerer, W. J., J. R. Burau, and W. A. Bennett. 2002. Persistence of tidally-oriented vertical migration by zooplankton in a temperate estuary. Estuaries 25:359–371.
- Kimmerer, W. J., M. L. MacWilliams, and E. S. Gross. 2013. Variation of fish habitat and extent of the low-salinity zone with freshwater flow in the San Francisco Estuary. San Francisco Estuary and Watershed Science 11(4):16.
- Kimmerer, W. J., and L. Lougee. 2015. Bivalve grazing causes substantial mortality to an estuarine copepod population. Journal of Experimental Marine Biology and Ecology 473:53–63.
- Klein Breteler, K., W. C. M. Koski, and S. Rampen. 2004. Role of essential lipids in copepod nutrition: no evidence for trophic upgrading of food quality by a marine ciliate. Marine Ecology Progress Series 274:199–208.
- MacArthur, R. H., and E. Pianka. 1966. On optimal use of a patchy environment. American Naturalist 100:603–609.
- MacNally, R., J. R. Thomson, W. J. Kimmerer, F. Feyrer, K. B. Newman, A. Sih, W. A. Bennett, L. Brown, E. Fleishman, S. D. Culberson, and G. Castillo. 2010. Analysis of pelagic species decline in the upper San Francisco Estuary using multivariate autoregressive modeling (MAR). Ecological Applications 20(5):1417–1430.
- Matern, S. A., P. B. Moyle, and L. Pierce. 2002. Native and alien fishes in a California estuarine marsh: twenty-one years of changing assemblages. Transactions of the American Fisheries Society 131:797–816.
- Meng, L., and J. J. Orsi. 1991. Selective predation by larval striped bass on native and introduced copepods. Transactions of the American Fisheries Society 120:187–192.
- Meng, L., P. B. Moyle, and B. Herbold. 1994. Changes in abundance and distribution of native and introduced fishes of Suisun Marsh. Transactions of the American Fisheries Society 123:498–507.
- Merz, J. E., P. S. Bergman, J. L. Simonis, D. Delaney, J. Pierson, and P. Anders. 2016. Long-term seasonal trends in the prey community of Delta smelt (Hypomesus transpacificus) within the Sacramento-San Joaquin Delta, California. Estuaries and Coasts 39(5):1526–1536.
- Mills, E. L., M. V. Pol, R. E. Sherman, and T. B. Culver. 1989a. Interrelationships between prey body size and growth of age-0 yellow perch. Transactions of the American Fisheries Society 118:1–10.
- Mills, E. L., R. Sherman, and D. S. Robson. 1989b. Effect of zooplankton abundance and body size on growth of age-0 yellow perch (Perca flavescens) in Oneida Lake, New York, 1975–86. Canadian Journal of Fisheries and Aquatic Sciences 46(5):880–886.
- Miller, D. C., W. H. Lang, J. O. B. Greaves, and R. S. Wilson. 1982. Investigations in aquatic behavioral toxicology using a computerized video quantification system. Pages 206–220 in J. G. Pearson, R. B. Foster, and W. E. Bishop, editors. Aquatic Toxicology and Hazard Assessment. American Society Testing Materials, Philadelphia, PA, USA.
- Miller, T. J., L. B. Crowder, J. A. Rice, and E. A. Marschall. 1988. Larval size and recruitment mechanisms in fishes: toward a conceptual framework. Canadian Journal of Fisheries and Aquatic Science 45:1657–1670.
- Mittelbach, G. G., and L. Persson. 1998. The ontogeny of piscivory and its ecological consequences. Canadian Journal of Fisheries and Aquatic Sciences 55(6):1454–1465.
- Modlin, R. F., and J. J. Orsi. 1997. Acanthomysis bowmani, a new species, and A. aspera Ii, Mysidacea newly reported from the Sacramento-San Joaquin Estuary, California (Crustacea: Mysidae). Proceedings of the Biological Society of Washington 110(3):439–446.
- Morgan, S.G. 1989. Adaptive significance of spination in estuarine crab zoeae. Ecology 70:464–482.
- Moyle, P. B., B. Herbold, D. E. Stevens, and L. W. Miller. 1992. Life history and status of the Delta Smelt in the Sacramento-San Joaquin Estuary, California. Transactions of the American Fisheries Society 121:67–77.
- Moyle, P. B. 2002. Inland Fishes of California: Revised and Expanded. University of California Press, Berkeley, CA, USA.
- Nichols, F. H., J. K. Thompson, and L. E. Schemel. 1990. Remarkable invasion of San Francisco Bay (California USA) by the Asian clam Potamocorbula amurensis. II. Displacement of a former community. Marine Ecology Progress Series 66:95–102.
- Nobriga, M. L. 2002. Larval Delta smelt diet composition and feeding incidence: environmental and ontogenetic influences. California Fish and Game 88:149–164.
- Nobriga, M. L., and F. Feyrer. 2008. Diet composition in San Francisco Estuary striped bass: does trophic adaptability have its limits? Environmental Biology of Fishes 83(4):495–503.
- Nobriga, M. L., and J. A. Rosenfield. 2016. Population dynamics of Longfin Smelt in the San Francisco Estuary II: Disaggregating forces driving long-term decline of an estuarine forage fish. Transactions American Fisheries Society 145:44–58.
- Orsi, J. J., editor. 1999. Report on the 1980–1995 fish, shrimp and crab sampling in the San Francisco Estuary, California, The Interagency Ecological Program for the Sacramento-San Joaquin Estuary. Technical Report 63.
- Orsi, J. J., and W. L. Mecum. 1986. Zooplankton distribution and abundance in the Sacramento-San Joaquin Delta in relation to certain environmental factors. Estuaries 9:326–339.
- Orsi, J. J., and W. L. Mecum. 1996. Food limitation as the probable cause of a long-term decline in the abundance of Neomysis mercedis the opossum shrimp in the Sacramento San Joaquin estuary. Pages 375–401 in J. T. Hollibaugh, editor. San Francisco Bay: The Ecosystem. American Association for the Advancement of Science, San Francisco, CA, USA.
- Orsi, J. J., and S. Ohtsuka. 1999. Introduction of the Asian copepods Acartiella sinensis, Tortanus dextrilobatus (Copepoda: Calanoida), and Limnoithona tetraspina (Copepoda: Cyclopoida) to the San Francisco Estuary, California, USA. Plankton Biology and Ecology 46(2):128–131.
- Orsi, J. J., and T. E. Walter. 1991. Pseudodiaptomus forbesi and P. marinus (Copepoda: Calanoida) the latest copepod immigrants to California’s Sacramento-San Joaquin Estuary Pages 553–562 in S. I. Uye, S. Nishida, and J.-S. Ho, editors. Proceedings of the Fourth International Conference on Copepoda. Bulletin of the Plankton Society of Japan, Hiroshima, Japan.
- Popova, O. A. 1967. The predator-prey relationship among fish. Pages 359–376 in S. D. Gerking, editor. The Biological Basis of Freshwater Fish Production. Blackwell Scientific Publications, Oxford, UK.
- Popova, O. A. 1978. The role of predaceous fish in ecosystems. Pages 215–249 in S. D. Gerking, editor. Ecology of Freshwater Fish Production. John Wiley & Sons, New York, NY, USA.
- Rashevsky, N. 1959. Some remarks on the mathematical theory of nutrition of fishes. Bulletin of Mathematical Biophysics 21:161–183.
- Rooker, J. R., and G. J. Holt. 1996. Application of RNA: DNA ratios to evaluate the condition and growth of larval and juvenile red drum (Sciaenops ocellatus). Marine and Freshwater Research 47(2):283–290.
- Rosenfield, J. A. 2010. Conceptual life-history model for longfin smelt (Spirinchus thaleichthys) in the San Francisco Estuary. California Department of Fish and Game, Sacramento, C, USA.
- Schoener, T. W. 1969. Optimal size and specialization in constant and fluctuating environments: An energy- time approach. Brookhaven Symposium in Biology 22:103–114.
- Sibley, T. H., and P. Chigbu. 1994. Feeding behavior of longfin smelt (Spirinchus thaleichthys) may affect water quality and salmon production in Lake Washington. Lake and Reservoir Management 9(1):145–148.
- Skinner, J. E. 1962. An historical review of the fish and wildlife resources of the San Francisco Bay Area. California Department of Fish and Game, Water Projects Branch, Sacramento, CA, USA.
- Slater, S. B., and R. D. Baxter. 2014. Diet, prey selection, and body condition of age-0 Delta Smelt, in the Upper San Francisco Estuary.San Francisco Estuary and Watershed Science 12(3):art1.
- Slater, S. B., A. Schultz, B. G. Hammock, A. Hennessy, and C. Burdi. 2019. Patterns of zooplankton consumption by juvenile and adult Delta Smelt (Hypomesus transpacificus). Pages 11–72 in A. A. Schultz, editor. Directed Outflow Project Technical Report 1. U.S. Bureau of Reclamation, Bay-Delta Office, Mid Pacific Region, Sacramento, CA, USA.
- Sogard, S. M. 1997. Size-selective mortality in the juvenile stage of teleost fishes: a review. Bulletin of Marine Science 60(3):1129–1157.
- Stevens, D. E., D. W. Kohlhorst, L. W. Miller, and D. W. Kelley. 1985. The decline of Striped Bass in the Sacramento-San Joaquin Estuary, California. Transactions of the American Fisheries Society 114:12–30.
- Tamburello, N., B. M. Connors, D. Fullerton, and C. C. Phillis. 2019. Durability of environment-recruitment relationships in aquatic ecosystems: insights from long-term monitoring in a highly modified estuary and implications for management. Limnology and Oceanography 64:S223–S239.
- Thomson, J. R., W. J. Kimmerer, L. R. Brown, K. B. Newman, R. MacNally, W. A. Bennett, F. Feyrer, and E. Fleishman. 2010. Bayesian change-point analysis of abundance trends for pelagic fishes of the upper San Francisco Estuary. Ecological Applications 20(5):1431–1448.
- Turner, J. L., and H. K. Chadwick. 1972. Distribution and abundance of young-of-the-year striped bass, Morone saxatilis, in relation to river flow in the Sacramento-San Joaquin Estuary. Transaction of the American Fisheries Society 101:442–452.
- Turner, J. L., and D.W. Kelley, editors. 1966. Ecological studies on the Sacramento–San Joaquin Delta. California Fish and Game Bulletin 36.
- Wang, J. C. S. 1986. Fishes of the Sacramento-San Joaquin Estuary and adjacent waters, California: A guide to their early life histories. California Department of Water Resources, Interagency Ecological Program, Technical Report 9, Sacramento, CA, USA.
- Webb, P. W. 1976. The effect of size on the fast-start performance of rainbow trout Salmo gairdneri, and a consideration of piscivorous predator-prey interactions. Journal of Experimental Biology 65(1):157–177.
- Welker, M. T., C. L. Pierce, and D. H. Wahl. 1994. Growth and survival of larval fishes: roles of competition and zooplankton abundance. Transactions of the American Fisheries Society 123:703–717.
- Werner, E. E., and J. F. Gilliam. 1984. The ontogenetic niche and species interactions in size structured populations. Annual Review of Ecology and Systematics 15(1):393–425.
- Werner, E. E., and D. J. Hall, D. J. 1974. Optimal foraging and the size selection of prey by the bluegill sunfish (Lepomis macrochirus). Ecology 55:1042–1052.
- Winder, M., and A. D. Jassby. 2011. Shifts in zooplankton community structure: implications for food web processes in the upper San Francisco Estuary. Estuaries and Coasts 34:675–690.
- Winfield, I. J., and C. R. Townsend. 1983. The cost of copepod reproduction: increased susceptibility to fish predation. Oecologia 60(3):406–411.