Comparison of San Joaquin kit fox den and California ground squirrel burrow attributes
FULL RESEARCH ARTICLE
Brian Cypher*, Alyse Gabaldon, Francisco Ruiz Ponce, and Erica Kelly
California State University, Stanislaus, Endangered Species Recovery Program, One University Circle, Turlock, CA 95382, USA
https://orcid.org/0000-0002-7349-545X (BC)
https://orcid.org/0000-0002-3033-1607 (EK)
*Corresponding Author: bcypher@esrp.csustan.edu
Published 29 December 2023 • doi.org/10.51492/cfwj.109.17
Abstract
Endangered San Joaquin kit foxes (Vulpes macrotis mutica; SJKF) and California ground squirrels (Otospermophilus beecheyi; CAGS) occur sympatrically in many locations. CAGS can constitute a nuisance species and control strategies have included lethal measures administered within CAGS burrows. These measures could harm or kill a SJKF if mistakenly applied to an occupied SJKF den. To identify attributes to distinguish between SJKF dens and CAGS burrow, we assessed dimensions, penetration depths by 9.7-cm and 7.5-cm spheres, ejecta patterns, and the presence of various types of sign at 65 dens to which radiocollared SJKF were tracked and at 80 burrows that CAGS were observed to enter. Mean entrance height, width, and circumference all were significantly larger for SJKF den entrances. However, the ranges of values for all dimensions for the CAGS burrows completely encompassed the ranges for the SJKF dens. Penetration depths with the 7.5-cm sphere were similar for SJKF dens and CAGS burrows. The 9.7-cm sphere could not be inserted in over half of CAGS burrows and exceeded 1 m in depth in over half of the SJKF dens. Most SJKF dens had dirt berms but so did over half of the CAGS burrows. SJKF scats, prey remains, CAGS scats, and trash were observed at both SJKF dens and CAGS burrows although at different frequencies. CAGS tracks were only observed at seven CAGS burrows. None of the attributes we assessed provided unequivocal criteria for distinguishing between SJKF dens and CAGS burrows. Also, SJKF occasionally usurp CAGS burrows and CAGS occasionally move into vacant SJKF dens. Therefore, administering lethal control measures within burrows should be avoided as it presents too great a risk to SJKF as well as the many other species that also use CAGS burrows.
Key words: burrows, California ground squirrel, dens, Otospermophilus beecheyi, San Joaquin kit fox, Vulpes macrotis mutica
| Citation: Cypher, B., A. Gabaldon, F. R. Ponce, and E. Kelly. 2023. Comparison of San Joaquin kit fox den and California ground squirrel burrow attributes. California Fish and Wildlife Journal 109:e17. |
| Editor: Margaret Mantor, Habitat Conservation Planning Branch |
| Submitted: 17 August 2023; Accepted: 10 October 2023 |
| Copyright: ©2023, Cypher et al. This is an open access article and is considered public domain. Users have the right to read, download, copy, distribute, print, search, or link to the full texts of articles in this journal, crawl them for indexing, pass them as data to software, or use them for any other lawful purpose, provided the authors and the California Department of Fish and Wildlife are acknowledged. |
| Competing Interests: The authors have not declared any competing interests. |
Introduction
The San Joaquin kit fox (Vulpes macrotis mutica; SJKF) is endemic to the San Joaquin Desert region in central California, USA (USFWS 1998; Germano et al. 2011). The SJKF once was widely distributed throughout this region in arid shrubland and grassland habitats (USFWS 1998; Cypher et al. 2013). Considerable habitat within the range of the SJKF has been converted to agricultural, urban, and industrial uses (Kelly et al. 2005; Cypher et al. 2013). Due to this profound habitat loss, the SJKF was listed as federally Endangered in 1967 and California Threatened in 1980 (USFWS 1998). Habitat loss is still occurring within the range of the SJKF and continues to constitute a significant threat (USFWS 2010).
Paradoxically, although urban development is one of the primary causes of destruction of natural vegetation communities in the San Joaquin Desert, SJKF commonly occur in the city of Bakersfield and also are present in the small towns of Taft and Coalinga (Cypher 2010; Cypher and Van Horn Job 2012). SJKF occur throughout Bakersfield and are regularly observed using campuses (e.g., schools, churches), maintained open space (e.g., parks, golf courses), low to medium density residential areas (e.g., apartment homes or nursing homes), commercial areas, and other areas within the urban landscape (Cypher 2010; Deatherage et al. 2021; Cypher et al. 2023). These areas all are used for foraging, denning, and rearing young. The Bakersfield SJKF population is demographically robust exhibiting high survival and reproductive rates, and this population does not appear to exhibit the dramatic fluctuations observed among populations in non-urban areas, probably due to consistently abundant food resources (Cypher 2010). Thus, this population is substantial and potentially could contribute to the conservation and recovery of the SJKF (Cypher 2010; Cypher and Van Horn Job 2012).
The California ground squirrel (Otospermophilus beecheyi; CAGS) is ubiquitous and abundant throughout most of California with the exception of the Mojave and Colorado Desert regions (Jameson and Peeters 1988). The CAGS is a relatively large ground squirrel (up to 738 g; Smith et al. 2016) and is extremely adaptable. It occurs in open grasslands, chaparral, oak savannah, oak woodland, coniferous forest, riparian areas, and desert scrub (Smith et al. 2016). They also occur in anthropogenically disturbed areas such as oil fields, road sides, agricultural areas, and urban environments. Abundance varies with resource availability and densities as high as 70.4–92.5 per ha have been reported in some locations (Owings et al. 1977; Boellstorff and Owings 1995).
The CAGS is considered a nuisance species in some locations because it causes damage to desirable vegetation such as crops and landscape plantings or because its burrows can constitute hazards in locations such as unpaved roads, athletic fields, golf courses, and canal banks (Baldwin and Holtz 2010). In these situations, control measures may be desirable to eliminate or at least limit damage by the squirrels. CAGS are semi-fossorial and use earthen burrows daily. Consequently, several of the available control measures target squirrels while they are in their burrows. These measures include fumigation (e.g., gas cartridges, aluminum phosphide, carbon monoxide), burrow exploders, and collapsing burrows (Quinn et al. 2018).
SJKF also are semi-fossorial and use dens daily. Dens are used for daytime resting, avoiding predators, avoiding temperature extremes, conserving moisture, and rearing young (Grinnell et al. 1937; Koopman et al. 1998). Thus, dens are a critical aspect of SJKF natural history. In locations where SJKF and CAGS are sympatric, burrow-focused control measures for CAGS could present a risk of injury or death to SJKF if SJKF dens are misidentified as CAGS burrows. We measured attributes of known SJKF dens and CAGS burrows at a study site where both species were abundant to determine the extent of attribute overlap between dens and burrows of the two species. Overlapping attributes could result in misidentification of dens and burrows and pose a risk to SJKF.
Methods
Study Area
This study was conducted on the campus of the California State University-Bakersfield (CSUB) in Bakersfield, CA (35.349, –119.103). The campus is approximately 152 ha (375 ac) in size. It is surrounded by urban land uses consisting primarily of commercial and residential developments. Irrigated lawns and landscaping are present around buildings and on athletic fields. However, large portions of the campus are unirrigated and covered by dense growth of ruderal plants, particularly non-native species such as red brome (Bromus madritensis), wild barley (Hordeum murinum), black mustard (Brassica nigra), and puncture vine (Tribulus terrestris). These plants are green in the winter and early spring and dry the rest of the year.
CAGS are abundant on the CSUB campus and number in the many hundreds. Their burrows are commonly found in both the irrigated and non-irrigated areas as well as in landscaping and under sidewalks and structures. SJKF also are abundant on the campus and in 2023 when data were collected for this study, the number using the campus was estimated to be approximately 3–4 dozen animals. SJKF commonly use the entire campus, particularly at night when they are primarily active.
Den and Burrow Attributes
During May 2022–May 2023, SJKF on the CSUB campus were live-trapped and fitted with radiocollars as part of a separate investigation of den use patterns by SJKF and potential transmission pathways for sarcoptic mange. Radiocollared SJKF were tracked to dens weekly and the coordinates of all dens were recorded. Over 60 SJKF dens were identified, many of which had multiple entrances. For this study, we revisited these known SJKF dens during June-July 2023 to measure external attributes. CAGS burrows were located by observing squirrels at the entrances to their burrows or by following squirrels back to their burrows. These strategies ensured that the dens examined were known to be used by SJKF and the burrows examined were known to be used by CAGS.
At each den and burrow entrance, we used a meter stick or metric ruler to measure the height and width of the entrance. During data processing and entry, the height and width values for each den or burrow were entered into an online calculator (Raman 2023) to obtain the circumference of the opening. To determine how quickly internal tunnels narrowed beyond the entrance, we inserted a regulation-sized softball (9.7-cm diameter) attached to a flexible metal rod into the den or burrow to a 1-m depth or until it could not proceed further, whichever occurred first (Fig. 1). We then repeated this with a regulation-sized baseball (7.5-cm diameter). When conducting regulatory compliance surveys for SJKF dens, a common assumption used by field biologists is that if the diameter of a tunnel exceeds 7.6 cm to a depth of 1 meter, then a SJKF is able to enter. We conducted a similar measurement represented by the baseball and then also tried a larger diameter object represented by the softball to gain additional insights about known SJKF dens and CAGS burrows. We also wanted to use readily available items that could easily be obtained by others if our results revealed significant insights.

In addition to the measurements, we noted the presence or absence of several other potentially diagnostic attributes. The pattern of the dirt ejected while each den or burrow was excavated was noted. CAGS commonly eject dirt in a circular or semi-circular pattern when digging forming an “apron” around the burrow entrance (Fig. 2). SJKF commonly eject dirt in one direction sometimes resulting in a berm or ramp measuring several meters long (Fig. 3). Sign outside of burrows and dens also was noted including tracks, scats, prey remains, and trash. The latter two are commonly found outside of SJKF dens.


Mean height, width, and circumference measurements were compared between SJKF dens and CAGS burrows using t-tests. Depths from the insertion of the baseball and softball were categorized as 0 cm, 0–100 cm, and >100 cm and the proportions of observations in each category were determined by species. Likewise, the proportions of observations of each ejecta type (i.e., none, apron, berm) were determined by species. The number of observations of each type of sign was determined for both species. Statistical analyses were conducted in SPSS (SPSS Statistics package, ver. 29.0.1.1; IBM, Armonk, NY, USA) and α = 0.05 was used to determine the significance of statistical results.
Results
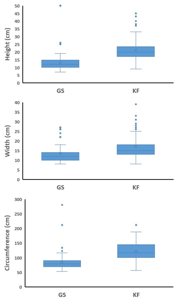
Measurements and attributes were collected for 65 known SJKF dens and 80 known CAGS burrows (Table 1). Entrances to SJKF dens generally were higher than they were wide while entrances to CAGS burrows had very similar height and width dimensions. Mean dimensions for SJKF dens were significantly greater than those for CAGS burrows for height (t1,141 = 79.10, P < 0.001), width (t1,141 = 25.38, P < 0.001), and circumference (t1,141 = 88.34, P < 0.001). However, for all three dimensions, the range of values for CAGS burrows completely encompassed the range for SJKF dens indicating extensive overlap (Fig. 4). The softball depth measuring tool was too large to be inserted into over half of the CSGS burrow entrances and could not be inserted into four of the SJKF den entrances (Table 1). When it could be inserted, the tool exceeded a depth of 1 m in just over half of the SJKF dens but only five (6%) of the CSGS burrows. The baseball depth measuring tool could be inserted into all of the SJKF den entrances and all but one of the CAGS burrow entrances. The tool exceeded a depth of 1 m in two-thirds of the SJKF dens and just over half of the CAGS burrows. Interestingly, the tool did not reach 1 m in about a third of the SJKF dens.
Table 1. Dimensions and other attribute information collected at San Joaquin kit fox dens (n = 65) and California ground squirrel burrows (n = 80) on the campus of the California State University, Bakersfield during June–July 2023.
| Type of Attribute | Attribute | Measurement | Kit fox dens | Squirrel burrows |
| Dimension (cm) | Height | Mean (SE) | 21.1 (0.9) | 12.6 (0.4) |
| Dimension (cm) | Height | Range | 9–45 | 7–50 |
| Dimension (cm) | Width | Mean (SE) | 17.2 (0.8) | 12.9 (0.4) |
| Dimension (cm) | Width | Range | 8–39 | 8–68 |
| Dimension (cm) | Circumference | Mean (SE) | 122.1 (4.2) | 80.8 (2.0) |
| Dimension (cm) | Circumference | Range | 57–215 | 53–280 |
| Depth | Softball Penetration | Could not enter | 6.2% | 56.3% |
| Depth | Softball Penetration | Up to 100 cm | 41.5% | 37.5% |
| Depth | Softball Penetration | > 100 cm | 52.3% | 6.2% |
| Depth | Baseball Penetration | Could not enter | 0% | 1.2% |
| Depth | Baseball Penetration | Up to 100 cm | 32.3% | 46.3% |
| Depth | Baseball Penetration | > 100 cm | 67.7% | 52.5% |
| Ejecta pattern | Ejecta pattern | None | 18.5% | 16.3% |
| Ejecta pattern | Ejecta pattern | Circular apron | 3.0% | 26.2% |
| Ejecta pattern | Ejecta pattern | Linear berm | 78.5% | 57.5% |
| Sign | Kit fox scats | Total # | 17 | 2 |
| Sign | Prey remains | Total # | 8 | 3 |
| Sign | Trash | Total # | 21 | 12 |
| Sign | Squirrel tracks | Total # | 0 | 7 |
| Sign | Squirrel scats | Total # | 4 | 38 |

A linear berm formed from excavated soil was present at over three-quarters of SJKF dens and also at over half of CAGS burrows (Table 1). An apron pattern was present at about one-quarter of CAGS burrows. A number of dens and burrows had no obvious pattern of excavated soil. SJKF scats, prey remains, and trash were more frequently present at SJKF dens but also were present at some CAGS burrows (Table 1). CAGS tracks and scats were more frequently present at CAGS burrows although scats also were present at some SJKF dens.
Discussion
On average, entrances to SJKF dens are larger than those of CSGS burrows. This is not surprising in that SJKF are larger in size than CSGS. SJKF den entrances also are commonly higher than wide. This has been documented previously and presumably facilitates entry by the relatively slender SJKF while impeding entry by larger predators such as coyotes (Canis latrans) and bobcats (Lynx rufus; Cypher 2003). Berry et al. (1987) collected measurements on 771 SJKF dens and reported that mean height and width were 19.1 cm and 18.0 cm, respectively. The difference between height and width was small in that study, but interestingly CAGS were abundant on that study site and many of the SJKF dens probably were former CAGS burrows. In our study, the height and width dimensions for CAGS burrows were very similar as the burrow entrances are generally round in shape.
Although entrances to SJKF dens generally were larger than those to CAGS burrows, SJKF clearly are able to squeeze through relatively small openings. The height for some SJKF dens was as low as 9 cm and the width was as narrow as 8 cm. Conversely, CAGS used some burrows with relatively large dimensions including some with entrances that were 50 cm high and 68 cm wide. Indeed, among the 145 dens and burrows measured, the greatest height and width measurements were from CAGS burrows.
Penetration depths based on the measurements with the softball and baseball tools revealed some general trends but few absolute criteria with regard to distinguishing between SJKF dens and CAGS burrows. The proportions of SJKF dens and CAGS burrows in each of the penetration categories for the baseball tool were rather similar with the tool being able to enter almost all dens and burrows (one CAGS burrow was the exception) and penetrating to at least 1 m in over half of the dens and burrows. In about a third of the SJKF dens, the tool could not penetrate to a depth of 1 m indicating that the den quickly narrowed internally. However, we could not ascertain whether the tool was impeded at a point that was narrow in just one dimension or all dimensions, or whether or not the den widened again beyond that point. Regardless, this tool or any similar sized device is not particularly useful in distinguishing between SJKF dens and CAGS burrows.
The softball tool was more informative. It could not be inserted into over half of the CAGS burrows and only four (6%) of the SJKF dens. Thus, entrances into which the tool cannot fit are highly likely to be CAGS burrows although clearly this is not an absolute criterion. Also, the tool penetrated to a depth of at least 1 m in over half of the SJKF dens but only five of the CAGS burrows. Thus, penetration to this depth indicates that a den is highly likely to be that of a SJKF although again this is not an absolute criterion.
Characteristics and sign outside of dens and burrows also indicated general trends but no consistent indicators between SJKF dens and burrows. Circular “aprons” are commonly considered an indicator of CAGS burrows (e.g., Lowry 2006). However, only about one-quarter of CAGS burrows had such aprons and two SJKF dens also had circular patterns of ejecta. Linear “berms” are commonly considered an indicator of SJKF dens (e.g., Lowery 2006) and indeed over three-quarters of dens had such berms. However, over half of the CAGS burrows also had berms. Thus, ejecta patterns are not a reliable characteristic for distinguishing SJKF dens from CAGS burrows. This is particularly true at a site such as our study area where landscape irrigation can alter or obliterate some den and burrow characteristics.
All of the different types of sign were observed outside of SJKF dens and CAGS burrows except for CAGS tracks, which only were observed at a relatively small number of CAGS burrows. CAGS tracks were not observed outside any SJKF dens but CAGS scats were observed at a small number of dens indicating that CAGS occasionally approached dens, possibly when they were unoccupied by SJKF or during the day when any SJKF in the dens likely were resting. The observations of SJKF scats at SJKF dens was not surprising and neither was the observation of SJKF scats at two CAGS burrows as SJKF likely routinely visit the burrows while searching for prey. Prey remains outside of SJKF dens also was not surprising. Remains outside of three CAGS burrows were of CAGS and could have been from animals that died in the burrows and then were eventually pushed out by other CAGS. Trash was found outside a considerable number of SJKF dens and CAGS burrows. Some of the trash may have been wind-blown into the dens and burrows. However, most trash consisted of food wrappers that likely were carried by animals back to the dens and burrows. Both SJKF and CAGS are opportunistic foragers that readily consume anthropogenic foods (Cypher and Warrick 1993; Newsome et al. 2010), which are abundant on the CSUB campus.
Despite some general trends in attributes associated with SJKF dens and CAGS burrows, considerable variation in attributes was observed resulting in extensive overlap between dens and burrows. For example, the ranges in measurements for the three dimensions of the CAGS burrow entrances completely overlapped those for SJKF den entrances, and only two attributes were exclusive to one species (i.e., the baseball tool could enter all SJKF dens and no CAGS tracks were present at any SJKF dens). The variation within attributes has a number of potential sources. Although they can excavate their own dens, SJKF are opportunistic and commonly take possession of the burrows of other species (e.g., CAGS, kangaroo rats [Dipodomys spp.]) and modify them for their own use (Cypher 2003). Thus, these dens may retain for a period of time some of the characteristics typical of burrows of the former species. Likewise, CAGS have been observed to move into unoccupied dens and burrows of other species, including SJKF. On the CSUB campus where SJKF and CAGS are both abundant, den and burrow occupancy can shift between species multiple times even in the course of a year (CSUS ESRP, unpublished data). Thus, it is unsurprising that a number of dens and burrows may exhibit characteristics associated with both SJKF and CAGS.
Another source of variation, and one common in urban environments, is anthropogenic disturbance of dens and burrows. If dens or burrows are located in areas heavily trafficked by human pedestrians, materials outside of the entrances (e.g., ejecta, trash, scats, prey remains) may periodically be removed. Some of the dens and burrows were located in landscape beds or lawn areas where daily irrigation can wash away sign and where water running into entrances can alter their dimensions through erosion. Mowing or other maintenance activities also can remove sign and alter entrance attributes. Domestic dogs may dig at entrances in an effort to capture CAGS or even SJKF and this could alter den and burrow attributes.
Given the variation detailed above and the resulting extensive overlap in attributes between SJKF dens and CAGS burrows, we conclude that the dens and burrows of the two species cannot be reliably distinguished based on external characteristics. Although a given den or burrow may exhibit characteristics commonly associated with a particular species, the only way that the current occupants can be identified with certainty is through direct observation of individuals entering the den or burrow. Even this is not completely fool-proof as a given species potentially can enter a den or burrow that is occupied by the other species, particularly if it is seeking quick escape from some threat. For example, a CAGS frightened by a landscape maintenance vehicle might enter an occupied SJKF den. This could adversely impact the SJKF in the den if some lethal control measure (e.g., gassing) was applied to that den in an effort to kill the CAGS.
Given the difficulty in distinguishing SJKF dens and CAGS burrows, CAGS control measures that entail administering treatments to burrows should be avoided in locations where SJKF may be present. The risk of injury or death to a SJKF is too great. Furthermore, numerous other species also use CAGS burrows. Alvarez (2023) reported that CAGS burrows were used by at least 146 invertebrate and vertebrate species, a number of which were federally or state-listed species or California Species of Special Concern. Many of the species, especially the smaller ones, can simultaneously occupy burrows with CAGS. Thus, given the potential presence of so many other species in CAGS burrows, control strategies involving lethal measures within burrows should be avoided.
Acknowledgments
Locations of SJKF dens were provided by the California State University-Stanislaus, Endangered Species Recovery Program. We thank CSUB for providing access to the campus to conduct this study.
Literature Cited
- Alvarez, J. 2023. Role of California ground squirrel (Otospermophilus beecheyi) burrow systems in sustaining native wildlife. Western Wildlife 10:47–55.
- Baldwin, R. A., and B. A. Holtz. 2010. Fumigation of California ground squirrels revisited: are fumigants an effective method for controlling ground squirrels? Vertebrate Pest Conference Proceedings 24:129–132.
- Berry, W. H., T. P. O’Farrell, T. T. Kato, and P. M. McCue. 1987. Characteristics of dens used by radiocollared San Joaquin kit fox, Vulpes macrotis mutica, Naval Petroleum Reserve #1, Kern County, California. EG&G Energy Measurements Topical Report EGG 10282-2177, Goleta, CA, USA.
- Boellstorff, D. E., and D. H. Owings. 1995. Home range, population structure, and spatial organization of California ground squirrels. Journal of Mammalogy76:551–561.
- Cypher, B. L. 2003. Foxes. Pages 511–546 in G. A. Feldhamer, B. C. Thompson, and J. A. Chapman, editors. Wild Mammals of North America: Biology, Management, and Conservation. 2nd edition. Johns Hopkins University Press, Baltimore, MD, USA.
- Cypher B. L. 2010. Kit foxes. Pages 49–60 in S. D. Gehrt, S. P. D. Riley, and B. L. Cypher, editors. Urban Carnivores: Ecology, Conflict, and Conservation. Johns Hopkins University Press, Baltimore, MD, USA.
- Cypher, B. L., N. A. Deatherage, T. L. Westall, E. C. Kelly, and S. E. Phillips. 2023. Potential habitat and carrying capacity of endangered San Joaquin kit foxes in an urban environment: implications for conservation and recovery. Urban Ecosystems 26:173–183.
- Cypher, B. L., S. E. Phillips, and P. A. Kelly. 2013. Quantity and distribution of suitable habitat for endangered San Joaquin kit foxes: conservation implications. Canid Biology and Conservation 16:25–31.
- Cypher, B. L., and C. L. Van Horn Job. 2012. Management and conservation of San Joaquin kit foxes in urban environments. Proceedings of the Vertebrate Pest Conference 25:347–352.
- Cypher, B. L., and G. D. Warrick. 1993. Use of human-derived food items by urban kit foxes. Transactions of the Western Section of the Wildlife Society 29:34–37.
- Deatherage, N. A., B. L. Cypher, J. Murdoch, T. L. Westall, E. C. Kelly, and D. J. Germano. 2021. Urban landscape attributes affect occupancy patterns of the San Joaquin kit fox during an epizootic. Pacific Conservation Biology 27: 256–266.
- Germano, D. J., G. B. Rathbun, L. R. Saslaw, B. L. Cypher, E. A. Cypher, and L. Vredenberg. 2011. The San Joaquin Desert of California: ecologically misunderstood and overlooked. Natural Areas Journal 31:138–147.
- Grinnell, J., J. S. Dixon, and J. M. Linsdale. 1937. Furbearing Mammals of California. University of California Press, Berkeley, CA, USA.
- Jameson, E. W., and H. J. Peeters. 1988. California Mammals. University of California Press, Berkeley, CA, USA.
- Kelly, P. A., S. E. Phillips, and D. F. Williams. 2005. Documenting ecological changes in time and space: the San Joaquin Valley of California. Pages 57–78 in E. A. Lacey, and P. Myers, editors. Mammalian Diversification: From Chromosomes to Phylogeography. University of California Press, Berkeley, CA, USA.
- Koopman, M. E., J. H. Scrivner, and T. T. Kato. 1998. Patterns of den use by San Joaquin kit foxes. Journal of Wildlife Management 62:373–379.
- Lowery, J. C. 2006. The Tracker’s Field Guide. Falconguide, Guilford, CT, USA.
- Newsome, S. D., K. Ralls, C. Van Horn Job, M. L. Fogel, and B. L. Cypher. 2010. Stable isotopes evaluate exploitation of anthropogenic foods by the endangered San Joaquin kit fox (Vulpes macrotis mutica). Journal of Mammalogy 91:1313–1321.
- Owings, D. H., M. Borchert, and R. Virginia. 1977. The behaviour of California ground squirrels. Animal Behaviour 25:221–230.
- Quinn, N., R. Baldwin, and M. D. Dimson. 2018. Ground squirrel, University of California Integrated Pest Management, Pest Notes. University of California Agriculture and Natural Resources Publication 7438. Available from: https://ipm.ucanr.edu/home-and-landscape/ground-squirrel/pest-notes/?src=302-www&fr=3777
- Raman, M. 2023. Ellipse Circumference Calculator. Omni Calculator, Krakow, Poland. Available from: https://www.omnicalculator.com/math/ellipse-circumference. (Accessed 28 July 2023).
- Smith, J. E., D. J. Long, I. D. Russell, K. L. Newcomb, and V. D. Muñoz. 2016. Otospermophilus beecheyi (Rodentia: Sciuridae). Mammalian Species 48(939):91–108.
- U. S. Fish and Wildlife Service (USFWS). 1998. Recovery plan for upland species of the San Joaquin Valley, California. U.S. Fish and Wildlife Service, Portland, OR, USA.
- U.S. Fish and Wildlife Service (USFWS). 2010. San Joaquin kit fox (Vulpes macrotis mutica) 5-year review: summary and evaluation. U.S. Fish and Wildlife Service, Sacramento, CA, USA.