Facilitating translocation: an endangered rodent engineer improves outcomes for re-introduced San Joaquin antelope squirrels
FULL RESEARCH ARTICLE
Patrick Anderson1, Craig Fiehler2, and William Timothy Bean1*
1 California Polytechnic State University, San Luis Obispo, Biological Sciences Department, 1 Grand Avenue, San Luis Obispo, CA 93407, USA
https://orcid.org/0000-0001-6595-5885 (WTB)
2 California Department of Fish and Wildlife, Central Region, 1234 East Shaw Avenue, Fresno, CA 93710, USA
*Corresponding Author: wtbean@calpoly.edu
Published 27 December 2024 • doi.org/10.51492/cfwj.110.17
Abstract
Despite the popularity of translocation for conservation, many wildlife translocations fail. Research on translocation failure has most often focused on negative species interactions like competition or predation, but positive interactions such as facilitation may be just as important. Ecosystem engineers, including burrowing rodents, play a key role in maintaining high levels of biodiversity and could be used to improve translocation outcomes. However, ecosystem engineers might simultaneously facilitate and compete with translocated species. We used a natural experiment to assess translocation outcomes with a soft release for the threatened San Joaquin antelope squirrel (Ammospermophilus nelsoni) at a site with and without giant kangaroo rats (Dipodomys ingens)—an endangered species and ecosystem engineer. We further compared these outcomes to a control, non-translocated population of antelope squirrels. Survival was highest at the control site, lower at the site with giant kangaroo rats present, and lowest at the site with no giant kangaroo rats. In the year following translocation, we found evidence of reproduction at all three sites. After four years, the antelope squirrel population re-introduced to the kangaroo rat present site persisted, but the population at the kangaroo rat absent site appears to have failed. Home range sizes were much larger at the translocation sites compared to the control. Antelope squirrels dispersed farther from initial release at the site with giant kangaroo rats than the site without, but these results may have suffered from survivorship bias—that is, squirrels at the kangaroo rat absent site either stayed directly within the release footprint or dispersed so far that we could not find them. Our results suggest that the positive impacts of a burrowing ecosystem engineer outweigh the potential negative impacts from competition.
Key words: Ammospermophilus nelson, commensalism, Dipodomys ingens, ecosystem engineer, facilitation, home range, kangaroo rat, reintroduction
| Citation: Anderson, P., C. Fiehler, and W. T. Bean. 2024. Facilitating translocation: an endangered rodent engineer improves outcomes for re-introduced San Joaquin antelope squirrels. California Fish and Wildlife Journal 110:e17. |
| Editor: Kate Morozova, Habitat Conservation Planning Branch |
| Submitted: 20 May 2024; Accepted: 17 July 2024 |
| Copyright: ©2024, Anderson et al. This is an open access article and is considered public domain. Users have the right to read, download, copy, distribute, print, search, or link to the full texts of articles in this journal, crawl them for indexing, pass them as data to software, or use them for any other lawful purpose, provided the authors and the California Department of Fish and Wildlife are acknowledged. |
| Funding: Funding was provided by the Cal Poly Biological Sciences Department, the William and Linda Frost Fund, the U.S. Fish and Wildlife Service, and the California Department of Fish and Wildlife. |
| Competing Interests: The authors have not declared any competing interests. |
Introduction
Translocation, the human-mediated movement of wildlife from one part of their range to another, is a widely used conservation tool (Wolf et al. 1996; IUCN/SSC 2013; Seddon et al. 2014). Despite its growing popularity, many wildlife translocations fail (Bubac et al. 2019; Resende et al. 2020). Causes of failure include individual behavior, predation, and incorrectly identified habitat (Wolf et al. 1996). Post-release dispersal contributed to translocation failure in more than a quarter of reviewed cases (Berger-Tal et al. 2020). Post-release dispersal can delay breeding, reduce feeding opportunities, and increase predation risk and stress (McCullough Hennessy et al. 2016; Swaisgood et al. 2019). Wildlife managers therefore need to better understand why animals disperse after release, and what can be done to minimize these movements.
Research on translocation failures has primarily focused on negative ecological interactions like predation, competition and abiotic stressors, and often neglected positive interactions such as facilitation (Stachowicz 2001; Bruno et al. 2003; Bulleri et al. 2016; Plein et al. 2016). One particularly important form of facilitation is ecosystem engineering, in which facilitators create, modify, and maintain habitat to the benefit of other species (Stachowicz 2001; Davidson and Lightfoot 2006). Semi-fossorial rodents are frequent and widespread ecosystem engineers (Reichman and Seabloom 2002; Coggan et al. 2018); their digging provides burrows for many other species, and they foster landscape-level heterogeneity by altering soil nutrient dynamics (Whitford and Kay 1999; Decker et al. 2019; Mallen-Cooper et al. 2019), soil-water cycles (Valentine et al. 2017) and plant and invertebrate communities (Davidson and Lightfoot 2007; Prugh and Brashares 2012). Primary burrow excavators are especially valuable in arid environments, because their burrows provide thermal refuge and elevated humidity (Heller and Henderson 1976; Kay and Whitford 1978; Chappell and Bartholomew 1981; Milling et al. 2018), and declines in semi-fossorial mammal populations across western North America has led to declines in other taxa dependent on their engineering (Branch et al. 2002; Lai and Smith 2003; Plein et al. 2016). Therefore, supporting burrowing mammal populations may facilitate translocation success (Plein et al. 2016; Swaisgood et al. 2019; Palmer et al. 2020). However, ecologically similar taxa with overlapping diets may simultaneously facilitate, through burrow creation, and compete, through reduction in food availability, with the translocated populations. Conservation of species that can benefit from using ecosystem engineers would be enhanced by disentangling these potential positive and negative interactions.
San Joaquin antelope squirrels (Ammospermophilus nelsoni) are an ideal candidate to test the varying impacts of competition and facilitation on translocation success. A small, semi-fossorial sciurid endemic to the San Joaquin Desert of central California, San Joaquin antelope squirrels are strongly associated with kangaroo rat (genus Dipodomys) burrows (Grinnell and Dixon 1918; Hawbecker 1947; Harris and Stearns 1991; Cypher et al. 2021). Previous research suggested that giant kangaroo rats (Dipodomys ingens)—an ecosystem engineer that is state and federally listed as endangered—both facilitate and compete with San Joaquin antelope squirrels. Population size of antelope squirrels was positively related to kangaroo rat burrow density but negatively related to kangaroo rat population size (Prugh and Brashares 2012).
Once widely distributed throughout the San Joaquin Desert, San Joaquin antelope squirrels have suffered severe habitat loss and are now listed as California Threatened and a Species of Greatest Conservation Need (CDFW 2015). Prospects for natural recolonization of protected and restored habitat are, in many places, poor (Cypher et al. 2021), and managers are increasingly turning to translocation for recovery (CDFW 2015). However, to our knowledge, no previous research has documented best practices for antelope squirrel translocation. The goal of this study was to test translocation techniques for San Joaquin antelope squirrels and assess the importance of kangaroo rat burrows for improving translocation outcomes.
We translocated San Joaquin antelope squirrels from a core population to two nearby sites where antelope squirrels had been extirpated. The translocation sites were ecologically similar, with one key difference: one site had giant kangaroo rats present (“GKR-P”) and the other did not (“GKR-A”). We compared antelope squirrel movement and survival among the sites and to a control (i.e., non-translocated) population. We hypothesized that, through their ecosystem engineering, giant kangaroo rats would facilitate San Joaquin antelope squirrel translocation success, and metrics of survival and movement would indicate highest quality at the control site, lower at the GKR-P site, and lowest at the GKR-A site. Specifically, we predicted that survival would be highest at the control, lower at GKR-P and lowest at GKR-A; and home range size and movement would be lowest at the control site, higher at GKR-P and highest at GKR-A; and that dispersal would be lower at GKR-P than GKR-A.
Methods
The research with vertebrate animals described below was approved by Cal Poly – San Luis Obispo University Animal Care and Use Committee #2006 and California Department of Fish & Wildlife review.
Study Area
The study sites were in the Carrizo Plain of central California, USA (35.236, –119.798), at an elevation of approximately 700 m (Bean et al. 2012; Fig. 1). The area was characterized by a Mediterranean climate with hot, dry summers and cool, wet winters (NOAA 2005). Summer higher temperatures ranged from 29° to 35°C, while mean winter maximum temperatures were between 10° and 21°C (Williams et al. 1993). Mean annual precipitation was 23 cm, with the majority falling from October to April (Bean et al. 2012; Prugh and Brashares 2012). Precipitation in the years of the study was close to long-term means in the 2020 season (23 cm) but lower in 2021 (14 cm). The study area is part of the San Joaquin Desert; the sites had few shrubs and were dominated by invasive annual grasses (Hordeum murinum, Bromus rubens) and forbs (Erodium cicutarium) (Germano et al. 2001; Anderson 2024).

The non-translocated Control sites and translocation source population were located within the Carrizo Plain National Monument (CPNM) and adjacent Panorama unit of the CDFW Carrizo Plain Ecological Reserve, respectively (Fig. 1). The CPNM is a core area for imperiled species and the largest relatively intact portion of the remaining San Joaquin Desert (Germano et al. 2011). The non-translocated Control sites consisted of two, paired 1.44 ha plots; the paired plots were established in 2007 to test the impact of cattle grazing in CPNM, but none of the plots were grazed during the time of the study.
The two translocation sites were located on protected lands less than eight kilometers north of the CPNM between the La Panza Range and Temblor Mountains (Fig. 1). The GKR-A site was located on the North Carrizo Ecological Reserve, managed by CDFW, and the GKR-P site on the California Valley Solar Ranch Preservation Lands, managed by Sequoia Riverlands Trust (SRT). Both translocation sites fell within the same ecoregion as the non-translocated control sites. No sign of giant kangaroo rats was present at the GKR-A site during site selection, and three nights of targeted trapping confirmed the presence of giant kangaroo rats at the GKR-P and absence at GKR-A. Giant kangaroo rats had been extirpated from the GKR-P site until they naturally recolonized the area in 2015-2016 (I. Axsom, pers. comm.). The control and source sites both had giant kangaroo rats present at relatively high densities. Based on a previous modeling effort, both translocation sites had similarly high suitability scores for San Joaquin antelope squirrels (Cypher et al. 2021).
The sites differed mainly in small mammal burrow density: the GKR-P site had 4 burrows per 50 m linear transect (mostly large enough for giant kangaroo rats), and the GKR-A site had 1.69 burrows per 50 m (mostly large enough for Peromyscus or other smaller pocket mice) (Anderson 2024). Mean residual dry matter was slightly higher at the GKR-A site than at GKR-P (560-840 kgs / ha vs. 280-560 kgs / ha). Plant species composition was similar, with both sites primarily dominated by non-native red-stemmed filaree (Erodium cicutatarium) and red brome (Bromus rubens) (Anderson 2024). Predator communities were also similar, but San Joaquin kit foxes (Vulpes macrotis mutica) were frequently detected at the control and GKR-P sites but were not detected at the GKR-A site (Anderson 2024).
Data Collection
Site preparation.—At both translocation sites, we selected a flat, open area to install a 4 x 5 grid of artificial burrows spaced 30 m apart. We created artificial burrows using a 6.35 cm diameter hand auger positioned at ~30° angle and dug to a depth of ~1 m (Germano and Rhodehamel 1995; L. Saslaw, pers. comm.). No further modifications were made at the GKR-P site. At the GKR-A site, we placed 20 stacks of two 122 cm x 102 cm, two-way-entry pallets within 1.5 m of the opening to each artificial burrow to provide artificial cover for translocated individuals. These were included at the request of managers to provide additional escape and themoregulatory cover at the site without natural burrows. For the first month of monitoring, we supplied each translocation site with two premium wildlife feed blocks (Purina, Gray Summit, MO, USA) made of a mixture of grains, seeds, molasses, and other ingredients (Cypher et al. 2021). In November of 2020, we replaced the feed blocks at both sites with ten PVC feeder tubes to allow for better protection from precipitation, grazing cattle, and other wildlife. We arranged feeding stations in a rectangle evenly spaced between the outermost and innermost artificial burrows (Anderson 2024) and supplied each with commercial birdseed weekly.
Capture, collaring, and cohort measurements.—We live-trapped San Joaquin antelope squirrels from late September to early October in 2020 and 2021 using Tomahawk live traps (model 201, Tomahawk Live Trap Co., Tomahawk, WI, USA) topped with high density polyethylene shade cloth and baited with rolled oats. Traps were set at 0600 and checked 2–3 hours after setting or until in-trap air temperatures rose above 35°C, whichever came first. For each captured squirrel, we recorded the individual’s weight, sex, age class, and reproductive condition.We implanted a passive integrated transponder (PIT) tag (Biomark Inc., Boise, ID, USA) subcutaneously between the scapulae of each collared squirrel. We secured VHF transmitters (model PD-2C; Holohil Systems Ltd., Carp, Ontario, Canada) around the necks of all study animals with ball chain collars (Harker et al. 1999). In 2020, we used #3 nickel-plated steel chain, but due to a large number of dropped and broken collars in the first season, we switched to #6 stainless steel chain in 2021. The transmitters weighed 2.7 g, with a total collar weight of less than 3% animal body mass (Sikes and Gannon 2011). The battery lifespan of each transmitter ranged from 3–4 months.
Translocation protocol.—We translocated 39 antelope squirrels in September 2020 and 22 antelope squirrels in September 2021. We translocated an additional 6 squirrels in October 2021 using dropped collars from the initial translocation that season. Individuals were divided evenly between the two translocation sites with a roughly 1:1 sex ratio. All translocations followed policy and procedures for conservation translocation (CDFW 2017).
We released translocated individuals on the day of capture into an artificial burrow at the release site. Artificial burrows were only re-used between seasons or during the supplementary translocation in October 2021. We provisioned each burrow with 250 g of a 1:1 mix of white millet and rolled oats, a handful of dried crickets purchased from an animal feed store, and two paper towels to aid in thermoregulation. We plugged every occupied artificial burrow with a wood retention cap for 24 hours to retain the animal and prevent panic dispersal from the site (Gedeon et al. 2011).
Radiotracking.—To compare short-term survival and movement after translocation, each individual antelope squirrel was tracked for approximately three months or until the collar was lost or dropped. In 2020, due to research safety restrictions from the COVID-19 pandemic, tracking was performed by P. Anderson and a field crew of 17 volunteers commuting individually approximately 3 hours round trip daily to the field sites. In 2021, tracking was primarily performed by two paid technicians housed adjacent to the Carrizo Plain National Monument. We attempted to locate each collared animal daily in 2020 and twice daily in 2021. We systematically rotated the order in which sites and individuals were tracked each day to minimize bias and avoid temporal autocorrelation.
We used a TR-8 scanning VHF receiver and a hand-held “H” type (Telonics, Inc., Mesa, AZ, USA) or Yagi (Communication Specialists, Inc., Orange, CA, USA) antenna to locate collared antelope squirrels. Individuals were rarely sighted aboveground, so we used the homing technique to locate individuals underground using directional signal strength. We recorded coordinates of all fixes with a handheld GPS receiver (eTrex 10, Garmin, Ltd., Olathe, KS, USA). When we could not locate collared individuals on site, we used a truck-mounted omnidirectional base loaded whip antenna (Model RA-5A, Telonics, Mesa, AZ, USA) to search using a > 1 km radius from the study sites. We tracked the first group of collared squirrels from 21 September 2020 to 18 December 2020, and the second group from 15 September 2021 to 7 December 2021.
Collar removal.—We attempted to retrieve collars and confirm survival with live trapping during the second week of December for both years. We used the homing technique to locate active collars underground and placed 3–4 Tomahawk live traps at nearby burrows. To re-locate animals that could not be located via telemetry, we placed 3–4 traps at the center of each missing antelope squirrel’s 95% Minimum Convex Polygon (MCP) home range. Home ranges were generated from all available fixes using the adehabitathr package in R version 4.0.3 (Calenge 2006; R Core Team 2023). To place traps for missing collars with fewer than five available fixes, we used the last known coordinates of the collar as the trapping location. All active collars that had not moved after three days of trapping, or for which their associated squirrel was captured without a collar on, were deemed to have dropped underground and were abandoned.
Post-release trapping and monitoring.—In March and July 2021, we trapped the translocation sites to determine the fate of squirrels with missing or dropped collars and to check for reproduction. In July 2021, we trapped the control sites using grids as part of the Carrizo Plain Ecosystem Project (Prugh and Brashares 2012). At each of the four control plots, we placed 18 traps 40 m apart in a checkerboard pattern. To determine trapping grid placement at the translocation sites, we constructed a 100% MCP using the centroid of 95% MCP home ranges of each squirrel on the plot. We then placed two trapping grids spaced 60 m apart into the 100% MCP for each site. We processed captured antelope squirrels using the same protocol outlined above and used age and the presence or absence of PIT tags to indicate if an individual was the result of on-site reproduction.
From 23 to 27 January 2023, we conducted visual monitoring to determine persistence at the GKR-P and GKR-A translocation sites. From 17 to 21 April 2023, we conducted a final round of live trapping to determine persistence. Four trapping grids, identical to those described above, were placed at each translocation site, one on the original release site and one grid each placed north, south and west of that grid. All traps were checked twice per day, with traps open at least two hours prior to each check.
Data Analysis
Cohort measurements.—Because the data failed to meet normality assumptions, we used a Kruskal-Wallis test to compare the percentage weight change by treatment of all re-captured squirrels at the end of each season. All comparisons were calculated using JMP® 16.0.0 (SAS Institute Inc., Cary, NC, USA) with a significance level of α = 0.05.
Survival.—We estimated both daily and overall season survival rate using program MARK 10.0 (White and Burnham 1999) and the rmark package (Laake 2013). We used a nest survival model to account for inconsistent sampling effort during the study (Devineau et al. 2014). We compared a suite of models to test for variation between study sites with session, sex, and time as predictor variables.
For each season, we standardized day one as the date of first release of a radio-collared individual and all dates until the final day of collar removal trapping follow sequentially. Individuals were considered deceased if their collar was found discarded on the ground before the end of the telemetry period – that is, we did not distinguish between predation or dropped collars. In instances where we could not retrieve a collar by the end of the telemetry period (either because the signal was lost of the collar suspected dropped underground), individuals were assumed alive until their last known location. For collars confirmed or suspected dropped underground with multiple consecutive fixes at the same location, we designated the second day at that location as the date of failure.
We primarily evaluated survival only within the season during which a squirrel was collared. If a squirrel was captured at the end of that season, it was classified as survived. In some cases, squirrels were not captured during the December trapping period but were captured in subsequent trapping efforts. However, re-classifying these individuals as survived through the entire season was complicated by differential trapping effort and squirrel home range size at each site. The control site was trapped more regularly after the conclusion of the study, and squirrel home ranges were smaller at that location, therefore each squirrel was more likely to have been captured. We therefore examined the sensitivity of our results to the method by which we deemed a squirrel survived.
Home range estimation.— We calculated mean home range size of radio-collared squirrels using both the 95% and 100% minimum convex polygon (MCP) and 95% kernel density estimate (KDE) techniques with the adehabitatHR package (Calenge 2006) in R. We estimated KDEs using the “href” bandwidth (Seaman and Powell 1996). To meet assumptions of normality, we transformed home range size estimates using the natural log. We determined that 30 locations were required to estimate home range size by plotting home range size against the number of locations used and finding an approximate asymptote (Odum and Kuenzler 1955; Seaman et al. 1999). Therefore, we limited home range analyses to the 42 individuals with ≥30 fixes (Control = 19, GKR-A = 9, GKR-P = 14). Analyses of squirrels with ≥15 did not substantially change the results, so we present only the more conservative set (Anderson 2024). We used linear models to compare antelope squirrel home range sizes, with site as the only predictor. Post hoc, we also calculated home range sizes using only locations collected one week after deployment (to allow translocated antelope squirrels to establish new home ranges); results were broadly similar and therefore not reported.
Movement.— For the following analysis, we removed individuals with fewer than 5 recorded locations. We used linear models to compare two measures of movement with site as a predictor. First, we calculated mean movement for individuals as the sum of all linear distances between an individuals’ consecutive tracked locations (>5 m), divided by the total number of fixes (Swaisgood et al. 2019). Second, we calculated dispersal distance of translocated individuals as the linear distance between a squirrel’s final home range center and the center of its release site. As with the home range analysis, we limited this to individuals with ≥30 fixes; analyses with ≥15 fixes did not change our results (Anderson 2024).
Results
Cohort measurements.—We trapped and collared 59 antelope squirrels (27 females and 32 males) during the 2020 trapping season, and 38 antelope squirrels (17 females and 21 males) during the 2021 trapping season. There was no evidence for differences in starting weight across the three sites (c22 = 0.935, P = 0.63). Antelope squirrels gained a mean of 10.5% in mass from initial capture to re-capture at the end of the season (SE = 3.25, n = 37). Mean weight change for antelope squirrels re-captured at the control sites was 13.0% (SE = 6.11, n = 15), 3.1% at the GKR-A site (SE = 7.43, n = 9), and 12.8% at the GKR-P site (SE = 3.2, n = 13). There was no evidence for differences in weight gain across the three sites (c22=3.07, P = 0.22).
Survival.— We documented three antelope squirrel mortalities (two at the GKR-A site, one at GKR-P) and one probable mortality (at the control site). The remaining squirrels were recaptured alive at the end of the season or in subsequent trapping events; their collars were recovered but with unknown fate; or their collars were never recovered. The top model of daily survival included site, sex, and session (Table 1); survival was higher for females than males, but the 95% confidence intervals overlapped 0; and higher in the second year. Daily survival was highest at the control sites (0.992, SE = 0.002, 95% CI = 0.99, 1.00), lower at GKR-P (0.988, SE = 0.003, 95% CI = 0.98, 0.99) and lowest at GKR-A (0.971, SE = 0.004, 95% CI = 0.97, 0.99).
Table 1. Comparison of models of daily survival for San Joaquin antelope squirrels in the Carrizo Plain, San Luis Obispo County, California during September–December of 2020 and 2021. Site included three treatments: a control, translocation to a site with kangaroo rats present, and translocation to a site with kangaroo rats absent.
| Model | # par | AICc | ΔAICc | Weight |
| Site + Sex + Session | 5 | 572.5833 | 0.000 | 0.394 |
| Site | 3 | 574.1346 | 1.551 | 0.181 |
| Site + Sex | 4 | 574.7200 | 2.137 | 0.135 |
| Session | 2 | 575.3583 | 2.775 | 0.098 |
| Null | 1 | 575.9100 | 3.327 | 0.074 |
| Sex | 2 | 576.2532 | 3.670 | 0.063 |
| Time | 2 | 576.5774 | 3.994 | 0.053 |
Overall season survival was also highest at the control sites (0.50, SE = 0.09, 95% CI = 0.33, 0.67), lower at the GKR-P site (0.35, SE = 0.09, 95% CI = 0.21, 0.53) and lowest at the GKR-A site (0.18, SE = 0.06, 95% CI = 0.09, 0.34). When including antelope squirrels that were not caught at the end of the season but were caught in subsequent trapping efforts, results were similar: survival was highest at the control (0.62, SE = 0.09, 95% CI = 0.42, 0.78), lower at GKR-P (0.37, SE = 0.09, 95% CI = 0.22, 0.55) and lowest at GKR-A (0.22, SE = 0.07, 95% CI = 0.12, 0.39).
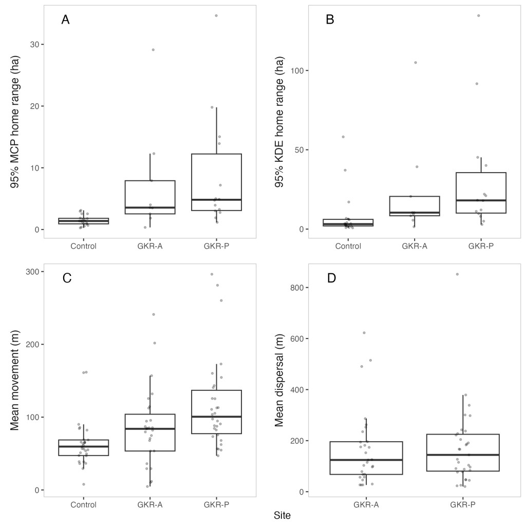
Home range estimation.—All three metrics of home range size indicated that antelope squirrels had the smallest home ranges at the control site (Figs. 2,3). The mean 95% MCP home range size was 1.48 ha at the control sites (n = 19, range of values from 0.26–3.11 ha), 7.23 ha at GKR-A (n = 9, range = 0.34–29.12 ha) and 8.66 ha at GKR-P (n = 14, range of values from 1.15–34.65 ha; Fig. 3a). There was strong evidence for differences in 95% MCP home range size between the control and GKR-A (P = 0.01) and GKR-P (P < 0.0001). There was no evidence for differences in home range size between GKR-A and GKR-P (P = 0.64). The mean 100% MCP home range size was 4.09 ha at the control sites and 12.66 ha at the translocation sites.


The mean 95% KDE home range size was 8.49 ha at the control sites (n = 19, range was 0.74–58.14), 23.37 at GKR-A (n = 9, range was 1.46–104.99), and 31.39 at GKR-P (n = 14, range was 2.87–134.59; Fig. 3b). There was moderate evidence that the control site had smaller 95% KDE home ranges than at GKR-A (P = 0.04) and strong evidence for smaller home ranges at the control than GKR-P (P = 0.001), but no evidence for differences between GKR-A and GKR-P (P = 0.67).
Movement.—Mean distance between consecutive locations was 63.88 m on the Control sites (SE = 6.01, n = 29), 85.34 m on the GKR-A site (SE = 10.5, n = 27), and 117.48 m on the GKR-P site (SE = 11.67, n = 30; Fig. 3c). There was very strong evidence that mean movement was higher at GKR-P than at the Control sites (mean difference = 27.91, SE = 6.50, Z = 4.29, P < 0.001). There was weak evidence that mean movement was higher at GKR-P than GKR-A (mean difference = 14.43, SE = 6.62, Z = 2.18, P = 0.08) and little evidence that mean movement differed between the Control sites and GKR-A (mean difference = 13.45, SE = 6.68, Z = 2.01, P = 0.13).
There was strong evidence that dispersal distance was higher at GKR-P than at GKR-A (F1,21 = 1.028, P = 0.004; Fig. 3d). Mean dispersal distance at GKR-P was 174.43 m (SE = 28.43, n = 31) and 168.54 at GKR-A (SE = 27.94, n = 29).
Post-release trapping and monitoring.—We captured three antelope squirrels without PIT tags at the GKR-A site and two at the GKR-P site in July 2021. The three at GKR-A were yearlings or juveniles. During collar removal trapping in December 2021, we captured 19 antelope squirrels without detectable PIT tags, with one yearling and one juvenile at the GKR-P site. Visual observations in January 2023 confirmed presence of antelope squirrels at both GKR-A and GKR-P; the individuals at GKR-A were all within the original release site, whereas antelope squirrels at GKR-P had dispersed ~50–500 m from the original release. In April 2023, antelope squirrels were trapped or seen throughout the GKR-P site, both on the original release site and up to 500 m north and south. Four juveniles were seen, and two of the captured adult males were scrotal. Managers at the GKR-P site reported seeing two antelope squirrels ~1km from the release site in February 2024. No antelope squirrels were seen or captured at GKR-A during five days of trapping in April 2023.
Discussion
In our study, we tested translocation outcomes for San Joaquin antelope squirrels at two sites that differed mainly in the presence of a burrowing ecosystem engineer, the giant kangaroo rat. Using the most important metric for success, the site with kangaroo rats present (GKR-P) had higher daily and seasonal survival than the site without kangaroo rats (GKR-A), despite having higher rates of kit fox activity (Anderson 2024). While both sites appeared to support reproduction during the study, as of April 2023 only the GKR-P site still had a population of antelope squirrels. However, even translocation to a highly suitable site with a soft release resulted in seasonal survival ~45% lower than the non-translocated control population, and there was strong evidence that home range sizes were smaller at the control sites compared to the translocation sites. Importantly, this study represents a single comparison of two sites, and we were unable to control for potentially confounding variables (e.g., burrows created by rodents other than kangaroo rats). Additional tests of translocation facilitation are needed (Hurlbert 1984).
By some metrics, antelope squirrels at the site without giant kangaroo rats (GKR-A) appeared more similar to the control site than GKR-P. Contrary to our predictions, mean movement and dispersal distance were lower at GKR-A than GKR-P, and these metrics did not meaningfully differ between GKR-A and the control sites. Hawbecker (1952) observed that antelope squirrels used burrows along their foraging routes. The lower density of burrows at the GKR-A site may have reduced the observed mean movement at that site. By contrast, the giant kangaroo rat burrows at GKR-P likely facilitated antelope squirrels by providing refuges that reduced negative survival impacts of increased movement, such as increased predation risk (Snyder et al. 1976; Jacquot and Solomon 1997). Some of our findings at the GKR-A site may have suffered from survivorship bias. Only nine antelope squirrels at this site remained at the release grid (where daily survival rates were comparable to GKR-P); the rest disappeared from the study, through some combination of long-distance dispersal and/or mortality. The antelope squirrels that survived did not appear to move from the initial release grid, even two years after initial translocation, whereas antelope squirrels at GKR-P often established home ranges near to, but up to 500 m away from, the release site. The greater movement and dispersal distances at GKR-P therefore likely indicate greater freedom of movement to select preferred habitat and to forage without being preyed upon.
Our estimates of San Joaquin antelope squirrel home range size and survival were comparable to other studies, particularly on the control site, although we used slightly different methods. Germano et al. (2021a) reported 100% MCP home ranges had a mean of 5.22 ha in August and September 2002, higher than our reported 1.48 ha for the control but lower than at GKR-A (7.23 ha) or GKR-P (8.66 ha); however, we reported 95% MCP estimates, which are inevitably smaller. Anderson (2024) reported 100% MCP home range sizes for the squirrels in our study of 4.09 ha for the control and 12.66 ha for the translocation sites. We estimated mean daily movement was 64 m at the control sites, 85 m at the GKR-A site and 118 m at the GKR-P site. All three represent less distance moved per day than a previous study (129 m, Germano et al. 2021a). We did not detect a difference in home range size or distance moved by sex, but we note that the previous study only included males. A previous study based on 10 years of trapping data estimated apparent annual survival at 0.32–0.41 (varying by sex and grazing treatment) (Germano et al. 2021b); our estimates were higher at the control (0.62) and lower at GKR-P (0.37) and GKR-A (0.22), but our estimates only apply to the three-month study season.
Translocation has become a common tool for Sciurid conservation. Our apparent survival estimates for the three-month study season (0.62 at the control, 0.37 at GKR-P and 0.22 at GKR-A) were similar to other studies of translocated sciurids, but the successful establishment of an antelope squirrel population without needing supplementation was unusual. A study of southern Idaho ground squirrels (Urocitellus endemicus) documented survival of 0.45-0.55 in adults for the approximately one-month season of the study period prior to estivation (implied three-month survival rate = 0.09 – 0.16), but ultimately none of the translocated populations were successfully established after the subsequent winter (Busscher 2009). Three-month survival for California ground squirrels (Otospermophilus beecheyi) ranged from approximately 0.16 to 0.42 depending on vegetation treatment type (Swaisgood et al. 2019). Daily survival was approximately 0.96 for translocated Utah prairie dogs (Cynomys parvidens; implied three-month survival = 0.02), lower than our daily survival estimates at both the control (0.992), GKR-P (0.988) and GKR-A (0.971), and less than 1% of those translocated were trapped the following year (Curtis et al. 2014). Initial annual survival estimated for reintroduced Gunnison’s prairie dogs (Cynomys gunnisoni) was 0.09 (implied three-month survival = 0.55) and required subsequent supplementation to establish a colony (Davidson et al. 2014). Monthly survival for reintroduced black-tailed prairie dogs (Cynomys ludovicianus) in Montana after initial release ranged from 0.63 to 0.79 depending on colony size (implied three-month survival = 0.25 to 0.49), and all of the translocated populations were successful (Dullum et al. 2005). Survival was associated with colony size (Dullum et al. 2005), and food availability (Davidson et al. 2014). Translocation in family groups was an importance indicator of success in a study of black-tailed prairie dogs (Shier 2006) but not Utah prairie dogs (Curtis et al. 2014).
Translocation success is often measured by establishment of a viable, self-sustaining population (IUCN/SSC 2013; Morris et al. 2021). Yet, many translocation projects fail to follow-up on their translocated populations or define the outcome of their work (Wolf et al. 1996; Resende et al. 2020). This study documented continued survival and reproduction of translocated antelope squirrels at or near the GKR-P site 3.5 years after the initial translocation in 2020. Further monitoring may be needed to determine if the population is self-sustaining, but preliminary observations are promising. The failure of post-release monitoring efforts to trap or observe antelope squirrels at the GKR-A site in 2023, paired with the significantly lower survival observed, supports the hypothesis that facilitation by GKR plays an important role in translocation success.
Ecosystem engineers, including burrowing rodents, create and modify habitat to support other species (Coggan et al. 2018). Their role in producing comparably high levels of species richness and diversity has long been recognized (e.g., Branch et al. 2002; Davidson et al. 2012). Only surprisingly recently have conservation managers begun to regularly use translocation of burrowing mammals as a tool for restoration (Palmer et al. 2020). In California, recent efforts have used translocation of a common “pest” species, California ground squirrels (Otospermophilus beecheyi) to improve habitat for burrowing owls (Athene cunicularia) (McCullough Hennessy et al. 2016; Swaisgood et al. 2019). In our case, we relied on a recent natural recolonization event to test the importance of an ecosystem engineer for translocation success.
Less work has examined the potentially opposing role that burrowing rodents might play in both facilitating and competing with other taxa. Most evidence has suggested that San Joaquin antelope squirrels are positively associated with kangaroo rats (Hawbecker 1947; Harris and Stearns 1991; Cypher et al. 2021), although one study suggested a more complicated relationship whereby kangaroo rat burrow density increased antelope squirrel density, but kangaroo rat populations indirectly compete with antelope squirrels (Prugh and Brashares 2012). Our findings suggest that the presence of kangaroo rats and their burrows meaningfully improves translocation success, therefore their positive facilitation through burrowing outweighs the negative competition.
Management Recommendations
When translocation is necessary, our results suggest that selecting a release site with kangaroo rat burrows will increase San Joaquin antelope squirrel survival and improve the chances of translocation success. The surrounding landscape should also be considered: one antelope squirrel at the GKR-P site dispersed over 800 m from its release site. If there is concern that animals may return to the original trapping location, translocation ought to occur to sites more than 1km away. We do not recommend releasing antelope squirrels into sites with no existing kangaroo rat burrows. However, if necessary, managers or other researchers ought to consider digging more complex artificial burrows – to make it more difficult for badgers and other predators to dig them out – and more burrows across the site to allow for increased foraging with nearby refuges. Squirrels at both sites appeared to use the supplemental feed, and managers should use covered feeding tubes rather than exposed feed blocks to reduce competition from birds and ungulates.
Acknowledgements
We acknowledge that the land this study was conducted on carries the heritage of the indigenous Cuyama Chumash, Yokut-speaking, and Salinan (T’epot’aha’l) tribes. We thank E. Morozova and three anonymous reviewers for editorial suggestions that greatly improved this manuscript; C. Calloway, M. O’Connor, and T. Statham for assistance in tracking, trapping and monitoring; I. Axsom, C. Wirth, L. Peria and Sequoia Riverlands Trust for supporting research on SRT land and providing many hours of logistical support, trapping and monitoring. We thank the many field technicians who contributed to data collection: B. Sugarman, E. Gusman, E. Underwood, M. Rose, J. Himler, A. Knighton, A. Bartizal, C. Laffoon, E. Francisco, G. Moosman, J. Kasper, J. Cuneo, L. Staab, M. Behrens, O. Ross, S. Barsch, T. Gaffney, A. Lucero, J. Ross, M. Treiber, M. Aguilar, R. Nolan, and R. Vosbigian. We thank K. Elder, T. Nguyen, A. Armstrong, C. MacKenzie, D. Thomaier, G. Gimbel, S. Lecher, P. Kessler, J. Perrine, and F. Villablanca for comments on earlier drafts; we thank the Cal Poly Biological Sciences department, the William and Linda Frost Fund, and the U.S. Fish and Wildlife Service and California Department of Fish and Wildlife for financial support. This project would not have been possible without the expertise and help of D. Germano and L. Saslaw.
Literature Cited
- Anderson, P. 2024. Evaluation of facilitation on translocation outcomes for San Joaquin antelope squirrel in the Carrizo Plain, California. Thesis, California Polytechnic State University, San Luis Obispo, CA, USA.
- Bean, W. T., R. Stafford, L. R. Prugh, H. S. Butterfield, and J. S. Brashares. 2012. An evaluation of monitoring methods for the endangered giant kangaroo rat. Wildlife Society Bulletin 36:587–593.
- Berger-Tal, O., D. T. Blumstein, and R. R. Swaisgood. 2020. Conservation translocations: a review of common difficulties and promising directions. Animal Conservation 23:121–131.
- Branch, L., D. Villarreal, and M. Machicote. 2002. Conservation challenges of ecosystem engineers: case studies from grasslands and shrublands of North and South America. The Open Country 4:37–48.
- Bruno, J. F., J. J. Stachowicz, and M. D. Bertness. 2003. Inclusion of facilitation into ecological theory. Trends in Ecology & Evolution 18:119–125.
- Bubac, C. M., A. C. Johnson, J. A. Fox, and C. I. Cullingham. 2019. Conservation translocations and post-release monitoring: identifying trends in failures, biases, and challenges from around the world. Biological Conservation 238:108239.
- Bulleri, F., J. F. Bruno, B. R. Silliman, and J. J. Stachowicz. 2016. Facilitation and the niche: implications for coexistence, range shifts and ecosystem functioning. Functional Ecology 30:70–78.
- Busscher, K. L. 2009. Improving success of translocation southern Idaho ground squirrels (Spermophilus endemicus). Thesis, Boise State University, Boise, ID, USA.
- Calenge, C. 2006. The package adehabitat for the R software: tool for the analysis of space and habitat use by animals. Ecological Modelling 197:516–519.
- California Department of Fish and Wildlife (CDFW). 2015. California state wildlife action plan, 2015 update: a conservation legacy for Californians. California Department of Fish and Wildlife, Sacramento, CA, USA.
- California Department of Fish and Wildlife (CDFW). 2017. Policy and procedures for conservation translocation of animals and plants. Department bulletin #2017-05. California Department of Fish and Wildlife, Sacramento, CA, USA.
- Chappell, M. A., and G. A. Bartholomew. 1981. Activity and thermoregulation of the antelope ground squirrel Ammospermophilus leucurus in winter and summer. Physiological Zoology 54:215–223.
- Coggan, N. V., M. W. Hayward, and H. Gibb. 2018. A global database and “state of the field” review of research into ecosystem engineering by land animals. Journal of Animal Ecology 87:974–994.
- Curtis, R., S. N. Frey, and N. L. Brown. 2014. The effect of coterie relocation on release-site retention and behavior of Utah prairie dogs. Journal of Wildlife Management 78:1069–1077.
- Cypher, B. L., E. C. Kelly, R. O’Leary, S. E. Phillips, L. R. Saslaw, E. N. Tennant, and T. L. Westall. 2021. Conservation of threatened San Joaquin antelope squirrels: distribution surveys, habitat suitability, and conservation recommendations. California Fish and Wildlife Journal, CESA Special Issue:345–366.
- Davidson, A. D., J. K. Detling, and J. H. Brown. 2012. Ecological roles and conservation challenges of social, burrowing, herbivorous mammals in the world’s grasslands. Frontiers in Ecology and the Environment 10:477–486.
- Davidson, A. D., M. T. Friggens, K. T. Shoemaker, C. L. Hayes, J. Erz, and R. Duran. 2014. Population dynamics of reintroduced Gunnison’s prairie dogs in the southern portion of their range. Journal of Wildlife Management 78:429–439.
- Davidson, A. D., and D. C. Lightfoot. 2006. Keystone rodent interactions: prairie dogs and kangaroo rats structure the biotic composition of a desertified grassland. Ecography 29:755–765.
- Davidson, A. D., and D. C. Lightfoot. 2007. Interactive effects of keystone rodents on the structure of desert grassland arthropod communities. Ecography 30:515–525.
- Decker, O., D. J. Eldridge, and H. Gibb. 2019. Restoration potential of threatened ecosystem engineers increases with aridity: broad scale effects on soil nutrients and function. Ecography 42:1370–1382.
- Devineau, O., W. L. Kendall, P. F. Doherty Jr, T. M. Shenk, G. C. White, P. M. Lukacs, and K. P. Burnham. 2014. Increased flexibility for modeling telemetry and nest‐survival data using the multistate framework. Journal of Wildlife Management 78:224–230.
- Dullum, J. L. D., K. R. Foresman, and M. R. Matchett. 2005. Efficacy of translocations for restoring populations of black-tailed prairie dogs. Wildlife Society Bulletin 33:842–850.
- Gedeon, C. I., O. Váczi, B. Koósz, and V. Altbäcker. 2011. Morning release into artificial burrows with retention caps facilitates success of European ground squirrel (Spermophilus citellus) translocations. European Journal of Wildlife Research 57:1101–1105.
- Germano, D. J., G. B. Rathbun, and L. R. Saslaw. 2001. Managing exotic grasses and conserving declining species. Wildlife Society Bulletin 2001 29:551–559.
- Germano, D. J., G. B. Rathbun, L. R. Saslaw, B. L. Cypher, E. A. Cypher, and L. M. Vredenburgh. 2011. The San Joaquin Desert of California: ecologically misunderstood and overlooked. Natural Areas Journal 31:138–147.
- Germano, D. J., G. B. Rathbun, L. R. Saslaw, and B. L. Cypher. 2021a. Home range and movements of San Joaquin antelope squirrels in the San Joaquin Desert of California. California Fish and Wildlife Journal, CESA Special Issue:317–328.
- Germano, D. J., L. R. Saslaw, G. B. Rathbun, and B. L. Cypher. 2021b. Population ecology and survivorship of San Joaquin antelope squirrels in grazed and control plots in the San Joaquin Desert of California. California Fish and Wildlife Journal, CESA Special Issue:329–344.
- Germano, D. J., and W. M. Rhodehamel. 1995. Characteristics of kangaroo rat burrows in fallow fields of the southern San Joaquin Valley. Transactions of the Western Section of the Wildlife Society 31:40–44.
- Grinnell, J., and J. Dixon. 1918. Natural history of the ground squirrels of California. California State Printing Office, Sacramento, CA, USA.
- Harker, M. B., G. B. Rathbun, and C. A. Langtimm. 1999. Beaded-chain collars: a new method to radiotag kangaroo rats for short-term studies. Wildlife Society Bulletin 27:314–317.
- Harris, J. H., and D. M. Stearns. 1991. Population density and census methods, habitat relationships and home range of the San Joaquin antelope squirrel, 1988-89. Nongame bird and Mammal Section report 91-02. California Department of Fish and Game, Sacramento, CA, USA.
- Hawbecker, A. C. 1947. Food and moisture requirements of the Nelson antelope ground squirrel. Journal of Mammalogy 28:115–125.
- Hawbecker, A. C. 1952. The natural history of the Nelson antelope ground squirrel (Ammospermophilus nelsoni). Oregon State College, Corvallis, OR, USA.
- Heller, H. C., and J. A. Henderson. 1976. Hypothalamic thermosensitivity and regulation of heat storage behavior in a day-active desert rodent Ammospermophilus nelsoni. Journal of Comparative Physiology 108:255–270.
- Hurlbert, S. H. 1984. Pseudoreplication and the design of ecological field experiments. Ecological Monographs 54:187–211.
- International Union for the Conservation of Nature, Species Survival Commission (IUCN/SSC). 2013. Guidelines for reintroductions and other conservation translocations. Version 1.0. IUCN Species Survival Commission, Gland, Switzerland.
- Jacquot, J. J., and N. G. Solomon. 1997. Effects of site familiarity on movement patterns of male prairie voles Microtus ochrogaster. American Midland Naturalist 138:414–417.
- Kay, F. R., and W. G. Whitford. 1978. The burrow environment of the banner-tailed kangaroo rat, Dipodomys spectabilis, in southcentral New Mexico. American Midland Naturalist 99:270–279.
- Laake, J. L. 2013. RMark: an R interface for analysis of capture-recapture data with MARK. AFSC Processed Rep. 2013-01. Alaska Fisheries Science Center, National Oceanic and Atmospheric Administration, National Marine Fisheries Service, Seattle, WA, USA.
- Lai, C. H., and A. T. Smith. 2003. Keystone status of plateau pikas (Ochotona curzoniae): effect of control on biodiversity of native birds. Biodiversity & Conservation 12:1901–1912.
- Mallen-Cooper, M., S. Nakagawa, and D. J. Eldridge. 2019. Global meta‐analysis of soil‐disturbing vertebrates reveals strong effects on ecosystem patterns and processes. Global Ecology and Biogeography. 28:661–679.
- McCullough Hennessy, S., D. H. Deutschman, D. M. Shier, L. A. Nordstrom, C. Lenihan, J.-P. Montagne, C. L. Wisinski, and R. R. Swaisgood. 2016. Experimental habitat restoration for conserved species using ecosystem engineers and vegetation management. Animal Conservation 19:506–514.
- Milling, C. R., J. L. Rachlow, M. A. Chappell, M. J. Camp, T. R. Johnson, L. A. Shipley, D. R. Paul, and J. S. Forbey. 2018. Seasonal temperature acclimatization in a semi-fossorial mammal and the role of burrows as thermal refuges. PeerJ 6:e4511.
- Morris, S. D., B. W. Brook, K. E. Moseby, and C. N. Johnson. 2021. Factors affecting success of conservation translocations of terrestrial vertebrates: A global systematic review. Global Ecology and Conservation 28:e01630.
- National Oceanic and Atmospheric Administration (NOAA). 2005. Local climatological data, Wasco, California. National Oceanic and Atmospheric Administration, Ashville, NC, USA.
- Odum, E. P., and E. J. Kuenzler. 1955. Measurement of territory and home range size in birds. The Auk 72:128–137.
- Palmer, B. J., L. E. Valentine, M. Page, and R. J. Hobbs. 2020. Translocations of digging mammals and their potential for ecosystem restoration: a review of goals and monitoring programmes. Mammal Review 50:382–398.
- Plein, M., M. Bode, M. L. Moir, and P. A. Vesk. 2016. Translocation strategies for multiple species depend on interspecific interaction type. Ecological Applications 26:1186–1197.
- Prugh, L. R., and J. S. Brashares. 2012. Partitioning the effects of an ecosystem engineer: kangaroo rats control community structure via multiple pathways. Journal of Animal Ecology 81:667–678.
- R Core Team. 2022. R: a language and environment for statistical computing. R Foundation for Statistical Computing, Vienna, Austria.
- Resende, P. S., A. B. Viana–junior, R. J. Young, and C. S. de Azevedo. 2020. A global review of animal translocation programs. Animal Biodiversity and Conservation 43.2: 221–232.
- Reichman, O. J., E. W. Seabloom. 2002. The role of pocket gophers as subterranean ecosystem engineers. Trends in Ecology and Evolution 17:44–49.
- Seaman, D. E., and R. A. Powell. 1996. An evaluation of the accuracy of kernel density estimators for home range analysis. Ecology 77:2075–2085.
- Seddon, P. J., C. J. Griffiths, P. S. Soorae, and D. P. Armstrong. 2014. Reversing defaunation: restoring species in a changing world. Science 345:406–412.
- Shier, D. 2006. Effect of family support on the success of translocated black-tailed prairie dogs. Conservation Biology 20:1780–1790.
- Sikes, R. S., and W. L. Gannon. 2011. Guidelines of the American Society of Mammalogists for the use of wild mammals in research. Journal of Mammalogy 92:235–253.
- Snyder, R. L., W. Jenson, and C. D. Cheney. 1976. Environmental familiarity and activity: aspects of prey selection for a ferruginous hawk. The Condor 78:138–139.
- Stachowicz, J. J. 2001. Mutualism, facilitation, and the structure of ecological communities. BioScience 51:235–246.
- Swaisgood, R. R., J.-P. P. Montagne, C. M. Lenihan, C. L. Wisinski, L. A. Nordstrom, and D. M. Shier. 2019. Capturing pests and releasing ecosystem engineers: translocation of common but diminished species to re-establish ecological roles. Animal Conservation 22:600–610.
- Valentine, L. E., M. Bretz, K. X. Ruthrof, R. Fisher, G. E. S. J. Hardy, and P. A. Fleming. 2017. Scratching beneath the surface: bandicoot bioturbation contributes to ecosystem processes. Austral Ecology 42:265–276.
- Williams, D. F., D. J. Germano, and W. Tordoff. 1993. Population studies of endangered kangaroo rats and blunt-nosed leopard lizards in the Carrizo Plain Natural Area, California. California Department of Fish and Game, Nongame Bird and Mammal Section Report 93-01, 114. California Department of Fish and Game, Sacramento, CA, USA.
- White, G. C., and K. P. Burnham. 1999. Program MARK: survival estimation from populations of marked animals. Bird Study 46:120–139.
- Whitford, W. G., and F. R. Kay. 1999. Biopedturbation by mammals in deserts: a review. Journal of Arid Environments 41:203–230.
- Wolf, C. M., B. Griffith, C. Reed, and S. A. Temple. 1996. Avian and mammalian translocations: update and reanalysis of 1987 survey data. Conservation Biology 10:1142–1154.